TCFH
![]() | |
| Names | |
|---|---|
| IUPAC name
[chloro(dimethylamino)methylidene]-dimethylazanium hexafluorophosphate
| |
Other names
| |
| Identifiers | |
| |
3D model (JSmol)
|
|
| ChemSpider | |
| ECHA InfoCard | 100.205.048 |
| EC Number |
|
PubChem CID
|
|
CompTox Dashboard (EPA)
|
|
| |
| |
| Properties | |
| C5H12ClF6N2P | |
| Molar mass | 280.58 g·mol−1 |
| Appearance | White crystalline solid |
| Melting point | 100–101 °C (212–214 °F; 373–374 K)[1] |
| Hazards | |
| GHS labelling: | |
| |
| Warning | |
| H302, H315, H319, H335 | |
| P261, P301+P312, P302+P352, P304+P340, P305+P351+P338 | |
| Safety data sheet (SDS) | Oakwood |
Except where otherwise noted, data are given for materials in their standard state (at 25 °C [77 °F], 100 kPa).
Infobox references
| |
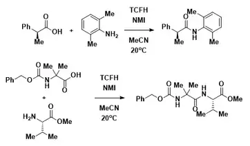
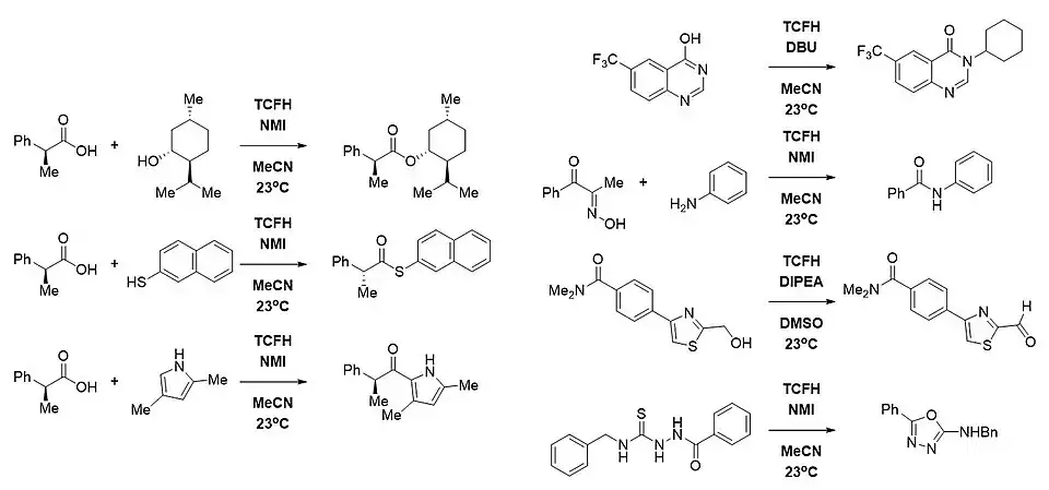
TCFH (N,N,N’,N’-tetramethylchloroformamidinium hexafluorophosphate) is an electrophilic amidine reagent used to activate a number of functional groups (such as carboxylic acids) for reaction with nucleophilies. TCFH is most commonly used to activate carboxylic acids for reaction with amines in the context of amide bond formation and peptide synthesis.
Preparation
TCFH is commercially available. It may be prepared from tetramethylurea using a chlorinating agent such as oxalyl chloride, thionyl chloride or phosphorus oxychloride followed by a salt exchange reaction.[2]
Uses
TCFH itself is a common reagent used in the preparation of uronium and guanidinium salts used for amide bond formation and peptide synthesis, such as HATU.[3][4][5]
Amide bond formation with TCFH can be performed in a wide range of organic solvents, most commonly acetonitrile, but also water[6] and in the solid state.[7] Reactions typically require an added Brønsted base, and a wide range can be employed including N,N-diisopropylethylamine (DIPEA). In reactions of carboxylic acids with TCFH and a weakly Lewis basic amine like DIPEA, formation of an acid chloride or anhydride as the active acylating agent occurs.[8] Use of N-methylimidazole (NMI) as a base, with both Brønsted and Lewis basic properties, provides some unique advantages. Reactions of carboxylic acids with TCFH and a strongly Lewis basic amine like NMI lead to in situ formation of an N-acyl imidazolium ion (NAI) as the active acylating agent.

These strongly electrophilic NAIs[9][10] allow for reactions with a wide range of nitrogen nucleophiles, including hindered and electron-deficient amines.[11] An added benefit of the use of NMI as the base, due to its low pKa(H2O) of 7,[12] is that the epimerization of labile stereogenic centers is minimized. The reaction by-products have high water solubility, facilitating reaction workup and isolation.

TCFH can also be used in other reactions involving activation of carboxylic acids from reactions with oxygen-, sulfur- and carbon-nucleophiles for the preparation of esters, thioesters and ketones.[13][14] Extending beyond reactions with carboxylic acids, TCFH has been shown to be an activator for other oxygen centered nucleophiles, including heterocyclic alcohols, ketooximes, and even alcohols.[15][16] Reactivity with sulfur centered nucleophiles like thioureas has also been demonstrated.

Safety
TCFH does not irritate skin but is a potent eye irritant.[17] The sensitization potential of TCFH was shown to be low compared to other amide bond forming agents, which can be used in the context of peptide synthesis (it is non-sensitizing at 1% in the local lymph node assay according to OECD 429[18]). The major by-product of using TCFH is tetramethylurea, which has demonstrated teratogenic activity in several laboratory animal species.[19]
References
- ^ Scardovi, Noemi; Garner, Philip P.; Protasiewicz, John D. (2003). "S -(2-Pyridinyl)-1,1,3,3-Tetramethylthiouronium Hexafluorophosphate. A New Reagent for the Synthesis of 2-Pyridinethiol Esters". Organic Letters. 5 (10): 1633–1635. doi:10.1021/ol034253j. PMID 12735739.
- ^ Encyclopedia of Reagents for Organic Synthesis (1 ed.). Wiley. 2001-04-15. doi:10.1002/047084289x.rn02314. ISBN 978-0-471-93623-7.
- ^ Carpino, Louis A.; Xia, Jusong; El-Faham, Ayman (2004-01-01). "3-Hydroxy-4-oxo-3,4-dihydro-5-azabenzo-1,2,3-triazene". The Journal of Organic Chemistry. 69 (1): 54–61. doi:10.1021/jo030017a. ISSN 0022-3263. PMID 14703378.
- ^ WO1994007910A1, Carpino, Louis A., "New reagents for peptide couplings", issued 1994-04-14
- ^ Carpino, Louis A.; Ferrer, Fernando J. (2001-09-01). "The 5,6- and 4,5-Benzo Derivatives of 1-Hydroxy-7-azabenzotriazole". Organic Letters. 3 (18): 2793–2795. doi:10.1021/ol016063j. ISSN 1523-7060. PMID 11529758.
- ^ Bailey, J. Daniel; Helbling, Edward; Mankar, Amey; Stirling, Matthew; Hicks, Fred; Leahy, David K. (2021-02-01). "Beyond organic solvents: synthesis of a 5-HT4 receptor agonist in water". Green Chemistry. 23 (2): 788–795. doi:10.1039/D0GC03316B. ISSN 1463-9270.
- ^ Dalidovich, Tatsiana; Mishra, Kamini A.; Shalima, Tatsiana; Kudrjašova, Marina; Kananovich, Dzmitry G.; Aav, Riina (2020-10-19). "Mechanochemical Synthesis of Amides with Uronium-Based Coupling Reagents: A Method for Hexa-amidation of Biotin[6]uril". ACS Sustainable Chemistry & Engineering. 8 (41): 15703–15715. doi:10.1021/acssuschemeng.0c05558. ISSN 2168-0485.
- ^ Tulla-Puche, Judit; Torres, Ángela; Calvo, Pilar; Royo, Miriam; Albericio, Fernando (2008-10-15). "N,N,N′,N′ -Tetramethylchloroformamidinium Hexafluorophosphate (TCFH), a Powerful Coupling Reagent for Bioconjugation". Bioconjugate Chemistry. 19 (10): 1968–1971. doi:10.1021/bc8002327. ISSN 1043-1802. PMID 18803415.
- ^ Wolfenden, Richard; Jencks, William P. (1961). "Acetyl Transfer Reactions of 1-Acetyl-3-methylimidazolium Chloride 1". Journal of the American Chemical Society. 83 (21): 4390–4393. Bibcode:1961JAChS..83.4390W. doi:10.1021/ja01482a023. ISSN 0002-7863.
- ^ Dadali, V.A.; Zubareva, T.M.; Litvinenko, L.M.; Simanenko, Y.S. (1984). "Effect of Structural Factors on the Kinetics of Formation and Reactivity of the Intermediate Product in Acyl Transfer Reaction Catalyzed by Imidazoles". J. Org. Chem. USSR. 20: 1542–1551.
- ^ Beutner, Gregory L.; Young, Ian S.; Davies, Merrill L.; Hickey, Matthew R.; Park, Hyunsoo; Stevens, Jason M.; Ye, Qingmei (2018-07-20). "TCFH–NMI: Direct Access to N -Acyl Imidazoliums for Challenging Amide Bond Formations". Organic Letters. 20 (14): 4218–4222. doi:10.1021/acs.orglett.8b01591. ISSN 1523-7060. PMID 29956545.
- ^ Bender, Myron L.; Turnquest, Byron W. (1957). "General Basic Catalysis of Ester Hydrolysis and Its Relationship to Enzymatic Hydrolysis 1". Journal of the American Chemical Society. 79 (7): 1656–1662. Bibcode:1957JAChS..79.1656B. doi:10.1021/ja01564a035. ISSN 0002-7863.
- ^ Luis, Nathaniel R.; Chung, Kasey K.; Hickey, Matthew R.; Lin, Ziqing; Beutner, Gregory L.; Vosburg, David A. (2024-04-12). "Beyond Amide Bond Formation: TCFH as a Reagent for Esterification". Organic Letters. 26 (14): 2745–2750. doi:10.1021/acs.orglett.3c01611. ISSN 1523-7060. PMID 37364890.
- ^ Ho, Johnson H.; Miller, Grant H.; Chung, Kasey K.; Neibert, Sydney D.; Beutner, Gregory L.; Vosburg, David A. (2024-10-07). "TCFH–NMI Ketone Synthesis Inspired by Nucleophilicity Scales". Organic Letters. 26 (41): 8904–8909. doi:10.1021/acs.orglett.4c03363. ISSN 1523-7060. PMID 39374118.
- ^ George, David T.; Williams, Michael J.; Beutner, Gregory L. (2023). "Safety as a Factor in Reaction Development: Considerations of Sensitization Potential with Amide Bond Forming Reagents". Helvetica Chimica Acta. 106 (11). Bibcode:2023HChAc.106E0140G. doi:10.1002/hlca.202300140. ISSN 0018-019X.
- ^ Lee, Su Eun; Kim, Youngsoo; Lee, Yong Ho; Lim, Hee Nam (2024-05-03). "C–C Bond Cleavage-Induced C- to N-Acyl Transfer for Synthesis of Amides". Organic Letters. 26 (17): 3646–3651. doi:10.1021/acs.orglett.4c01154. ISSN 1523-7060. PMID 38656111.
- ^ Graham, Jessica C.; Trejo-Martin, Alejandra; Chilton, Martyn L.; Kostal, Jakub; Bercu, Joel; Beutner, Gregory L.; Bruen, Uma S.; Dolan, David G.; Gomez, Stephen; Hillegass, Jedd; Nicolette, John; Schmitz, Matthew (2022-06-20). "An Evaluation of the Occupational Health Hazards of Peptide Couplers". Chemical Research in Toxicology. 35 (6): 1011–1022. doi:10.1021/acs.chemrestox.2c00031. ISSN 0893-228X. PMC 9214767. PMID 35532537.
- ^ OECD (2010). Test No. 429: Skin Sensitisation: Local Lymph Node Assay. Paris: Organisation for Economic Co-operation and Development.
- ^ Deutsche Forschungsgemeinschaft; Commission for the Investigation of Health Hazards of Chemical Compounds in the Work Area, eds. (2002). The MAK-Collection for Occupational Health and Safety: Annual Thresholds and Classifications for the Workplace (in German) (1 ed.). Wiley. doi:10.1002/3527600418.mb63222d0007. ISBN 978-3-527-60041-0.

