Lanosterol
![]() | |
![]() | |
| Names | |
|---|---|
| IUPAC name
Lanosta-8,24-dien-3β-ol
| |
| Systematic IUPAC name
(1R,3aR,5aR,7S,9aS,11aR)-3a,6,6,9a,11a-Pentamethyl-1-[(2R)-6-methylhept-5-en-2-yl]-2,3,3a,4,5,5a,6,7,8,9,9a,10,11,11a-tetradecahydro-1H-cyclopenta[a]phenanthren-7-ol | |
| Identifiers | |
3D model (JSmol)
|
|
| 2226449 | |
| ChEBI | |
| ChEMBL | |
| ChemSpider | |
| DrugBank | |
| ECHA InfoCard | 100.001.105 |
| EC Number |
|
| KEGG | |
| MeSH | Lanosterol |
PubChem CID
|
|
| UNII | |
CompTox Dashboard (EPA)
|
|
| |
| |
| Properties | |
| C30H50O | |
| Molar mass | 426.71 g/mol |
| Melting point | 138 to 140 °C (280 to 284 °F; 411 to 413 K) |
Except where otherwise noted, data are given for materials in their standard state (at 25 °C [77 °F], 100 kPa).
Infobox references
| |
Lanosterol is a tetracyclic triterpenoid and is the compound from which all animal and fungal steroids are derived. By contrast, plant steroids are produced via cycloartenol.[1] In the eyes of vertebrates, lanosterol is a natural constituent, having a role in maintaining health of the lens. Lanosterol is the precursor to cholesterol.[2]
Biosynthesis
The biosynthesis of lanosterol has been intensively investigated.[2]
| Description | Illustration | Enzyme |
|---|---|---|
| Two molecules of farnesyl pyrophosphate condense with reduction by NADPH to form squalene | squalene synthase | |
| Squalene is oxidized to 2,3-oxidosqualene (squalene epoxide) | ![]() |
squalene monooxygenase |
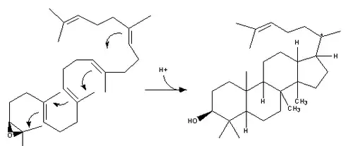
| 2,3-Oxidosqualene is converted to a protosterol cation and finally to lanosterol | ![]() |
lanosterol synthase |
| (step 2) | ![]() |
(step 2) |
Elaboration of lanosterol under enzyme catalysis leads to other steroids. 14-Demethylation of lanosterol by CYP51 eventually yields cholesterol.

Research as an eye drop supplement
As a molecule naturally enriched in the eye lens, lanosterol is a component involved in maintenance of lens clarity.[3][4] Its proposed mechanism of action is to inhibit the aggregation of crystallin proteins, which contribute to the clouding of vision by forming cataracts.[3][4]
Lanosterol is under research for its potential as a therapeutic additive in eye drops to inhibit the aggregation of crystallin proteins and dissolve cataracts.[3][4] However, supplemental lanosterol in eye drops appears to have limited solubility and poor bioavailability in the eye, and has not proved effective for inhibiting cataracts, as of 2020.[3][4]
See also
- Cycloartenol
- CYP51
- Other tetracyclic triterpenes: cycloartenol, euphol, tirucallol, and cucurbitacin.[2]
References
- ^ Schaller, Hubert (May 2003). "The role of sterols in plant growth and development". Progress in Lipid Research. 42 (3): 163–175. doi:10.1016/S0163-7827(02)00047-4. PMID 12689617.
- ^ a b c Nes, W. David (2011). "Biosynthesis of cholesterol and other sterols". Chemical Reviews. 111 (10): 6423–6451. doi:10.1021/cr200021m. PMC 3191736.
- ^ a b c d Daszynski DM, Santhoshkumar P, Phadte AS, et al. (June 2019). "Failure of oxysterols such as lanosterol to restore lens clarity from cataracts". Scientific Reports. 9 (1): 8459. doi:10.1038/s41598-019-44676-4. PMC 6560215. PMID 31186457.
- ^ a b c d Xu J, Fu Q, Chen X, Yao K (November 2020). "Advances in pharmacotherapy of cataracts". Annals of Translational Medicine. 8 (22): 1552. doi:10.21037/atm-20-1960. PMC 7729355. PMID 33313297.




