Dust astronomy

Dust astronomy is a subfield of astronomy that uses the information contained in individual cosmic dust particles ranging from their dynamical state to its isotopic, elemental, molecular, and mineralogical composition in order to obtain information on the astronomical objects occurring in outer space. Dust astronomy overlaps with the fields of Planetary science, Cosmochemistry, and Astrobiology.
Eberhard Grün et al. stated in the 2002 Kuiper prize lecture[2] "Dust particles, like photons, carry information from remote sites in space and time. From knowledge of the dust particles' birthplace and their bulk properties, we can learn about the remote environment out of which the particles were formed. This approach is called Dust Astronomy which is carried out by means of a dust telescope on a dust observatory in space".
History
.jpg)
Early observations
Three phenomena that relate (we know today) to cosmic dust were noticed by humans for millennia: Zodiacal light, comets, and meteors (cf. Historical comet observations in China). Early astronomers were interested in understanding these phenomena.
Zodiacal light or false dawn can be seen in the western sky after the evening twilight has disappeared, or in the eastern sky just before the morning twilight appears. This phenomenon was investigated by the astronomer Giovanni Domenico Cassini in 1683. He explained Zodiacal light by interplanetary matter (dust) around the Sun according to Hugo Fechtig, Christoph Leinert, and Otto E. Berg[4] in the book Interplanetary Dust.[5] In the past, unexpected appearances of comets were seen as bad omens that signaled disaster and upheaval, as described in the Observational history of comets. However, in 1705, Edmond Halley used Isaac Newton's laws of motion to analyze several earlier cometary sightings. He observed that the comets of 1531, 1607, and 1682 had very similar orbital elements, and he theorized that they were all the same comet. Halley predicted that this comet would return in 1758-59, but he died before it did. The comet, now known as Halley's Comet and officially designated 1P/Halley, ultimately did return on schedule. A meteor, or shooting star is a streak of light caused by a meteoroid entering the Earth's atmosphere at a speed of several tens of kilometers per second, at an altitude of about 100 km. At this speed the meteoroid heats up and leaves a trail of excited atoms and ions which emit light as they de-excite. In some cultures, meteors were thought to be an atmospheric phenomenon, like lightning. While only a few meteors can typically be seen in one hour on a moonless night, during certain times of the year, meteor showers with over 100 meteors per hour can be observed. Italian astronomer Giovanni Schiaparelli concluded in 1866 that the Perseid meteors were fragments of Comet Swift–Tuttle, based on their orbital similarities. The physical relation between the three disparate phenomena was demonstrated by the American astronomer Fred Lawrence Whipple who in the 1950th, proposed the "icy conglomerate" model of comet composition. This model could explain how comets release meteoroids and dust, which in turn feed and maintain the Zodiacal dust cloud.[6][7][8]
Compositional analyses of extraterrestrial material

For a long time, the only extraterrestrial material accessible for study were meteorites that had been collected on the Earth's surface. Meteorites were considered solid fragments from other astronomical objects such as planets, asteroids, comets, or moons. Most meteorites are chondrite meteorites that are named for the small, round particles they contain. Carbonaceous chondrites are especially primitive; they have retained many of their chemical properties since they accreted 4.6 billion years ago.[9] Other meteorites have been modified by either melting or planetary differentiation of the parent body. Analyzing the composition of meteorites provides a glimpse into the formation and evolution of the Solar System. Therefore, meteorite analyses have been the cornerstone of cosmochemistry.[10]
The first extraterrestrial samples – other than meteorites – were 380 kg of lunar samples brought back in the seventies by the Apollo missions and at about the same time 300 g were returned by the uncrewed Luna spacecraft. Recently, in 2020 Chang'e 5 collected 1.7 kg of lunar material. From the isotopic, elemental, molecular, and mineralogical compositions important conclusions about e.g. the origin of the Moon like the giant-impact hypothesis[11] were drawn.
Thousands of grains were collected during fly by of comet 81P/Wild by Stardust that returned the samples to Earth in 2006. Their analysis provided insight into the early Solar System.[12] Also some probable interstellar grains were collected during interplanetary cruise of Stardust and were returned by the same mission.[13]
Asteroids and meteorites have been linked via their Asteroid spectral types and similarities in the visible and near-infrared,[14] which implies that asteroids and meteorites derived from the same parent bodies.
The first asteroid samples were collected by the JAXA Hayabusa missions. Hayabusa encountered asteroid 25143 Itokawa in November 2005, picked up 10 to 100 micron sized particles from the surface, and returned them to Earth in June 2010.[15] Hayabusa 2 mission collected about 5 g surface and sub-surface material from asteroid 162173 Ryugu a primitive C-type asteroid and returned it in 2020.[16]
Sample return missions are very expensive and can address only a small number of astronomical objects. Therefore, less expensive methods to collect and analyse extraterrestrial materials have been looked for. Cosmic dust surviving atmospheric entry can be collected by high (~20 km) flying aircraft. Donald E. Brownlee identified reliably the extraterrestrial nature of such collected dust particles by their chondritic composition.[17] A large portion of the collected particles may have a cometary origin[18] while others come from asteroids.[19] These stratospheric dust samples can be requested for further research from a catalogue that provides SEM photos together with their EDS spectra.[20]
Methods
Since the beginning of Space Age the study of space dust rapidly expanded. Freed from peeking through narrow infrared windows in the atmosphere infrared astronomy mapped out cold and dark dust clouds everywhere in the universe. Also, in situ detection and analysis of cosmic dust came in the focus of space agencies (cf. Space dust measurement).
In situ dust analyzers
Numerous spacecraft have detected micron-sized cosmic dust particles across the Solar System. Some of these spacecraft had dust composition analyzers that used impact ionization to determine the composition of ions generated from the cosmic dust particle. Already the first dust composition analyzer, the Helios Micrometeoroid Analyzer, searched for variations of the compositional and physical properties of micrometeoroids. The spectra did not demonstrate any clustering of single minerals. The continuous transition from low to high ion masses indicates that individual grains are a mixture of various minerals and carbonaceous compounds.[21] The more advanced dust mass analyzers on the 1986 comet Halley missions Vega 1, Vega 2, and Giotto recorded an abundance of small particles. In addition to silicates, many of these particles were rich in light elements such as H, C, N, and O. This indicates that Halley dust is even more primitive than carbonaceous chondrites.[22] The identification of organic constituents suggests that the majority of the particles consist of a predominantly chondritic core with a refractory organic mantle.[23]

The Cassini Cosmic Dust Analyzer (CDA) analyzed dust throughout its interplanetary cruise to Saturn and within the Saturn system. During Cassini's flyby of Jupiter CDA detected several 100 dust impacts within 100 million km from Jupiter. The spectra of these particles revealed sodium chloride (NaCl) as the major particle constituent, along with sulphurous and potassium-bearing components that demonstrated their relation to Jupiter's volcanic moon, Io.[24] Saturn's E ring particles consist predominantly of water ice[25] but in the vicinity of Saturn's moon Enceladus CDA found mostly salt-rich ice particles that were ejected by active ice geysers on the surface of this moon. This finding led to the belief that an underground salt-water ocean is the source for all matter observed in the plumes.[26] At large distance from Saturn CDA identified and analyzed interstellar grains passing through the Saturn system. These analyses suggested magnesium-rich grains of silicate and oxide composition, some with iron inclusions.[27]
The detection of electric dust charges by CDA[28][29] provided means for contact-free detection and analysis of dust grains in space. This discovery led to the development of a trajectory sensor that allows us to determine the trajectory of a charged dust particle[30][31] prior to impact onto an impact target. Such a dust trajectory sensor can be combined with an aerogel dust collector[32] in order to form an active dust collector[33] or with a large-area dust composition analyzer[34] in order to form a dust telescope[35] With its capabilities CDA can be considered a prototype dust telescope.
Dust telescopes

In situ methods of dust astronomy like dust composition analyzers aim for the exploitation of the cosmochemical information contained in individual cosmic dust particles.[37] Not so costly as sample return missions are rendezvous missions to a comet or asteroid like the Rosetta space probe to comet 67P/Churyumov–Gerasimenko. Rosetta characterized collected comet dust by sophisticated dust analyzers like the dust detector GIADA,[38] a high-resolution secondary ion mass spectrometer COSIMA,[39][40] an atomic force microscope MIDAS,[41] and the mass spectrometers of ROSINA.[42][43]
Several large-area dust composition analyzers and dust telescopes are in preparation in order to study astronomical objects or interplanetary dust from comets and asteroids and interstellar dust.
The Surface Dust Analyser (SUDA) on board the Europa Clipper mission will map the composition of Europa's surface and search for cryovolcanic plumes. The instrument is capable of identifying biosignatures and other complex molecules in ice ejecta.[44]
The DESTINY+ Dust Analyzer (DDA) will fly on the Japanese-German space mission DESTINY+ to asteroid 3200 Phaethon. Phaethon is the parent object of the December Geminids meteor stream. DDA's will study Phaeton's dust environment during the encounter and will analyze interstellar and interplanetary dust on cruise to Phaethon[45]
The Interstellar Dust Experiment (IDEX)[46] will fly on the Interstellar Mapping and Acceleration Probe (IMAP) at the Sun–Earth L1 Lagrange point. IDEX will provide the mass distribution and elemental composition of interstellar and interplanetary dust particles.[47]
Sources of cosmic dust
The ultimate source of cosmic dust are stars in which the elements – out of which stardust is composed of – are produced by fusion of hydrogen and helium or by explosive nucleosynthesis in supernovae. This stardust from various stellar sources is mixed in the interstellar medium and thermally processed in star forming regions. Solar System objects like comets and asteroids contain this material in more or less further processed form. Geologically active satellites like Io or Enceladus emit dust that condensed out of vapor from the molten interior of these planetary bodies.
Stars

After the Big Bang existed only the chemical elements Hydrogen, Helium, and Lithium.[48] All other elements we know and that can be found in cosmic dust have been formed in Supernovae and stars.[49] Therefore, the ultimate sources of dust are stars.[50] Elements from carbon (atomic number Z = 6) to plutonium (Z = 94) are produced by nucleosynthesis in stellar cores and in Supernova explosions. Stellar nucleosynthesis in the most massive stars creates many elements, with the abundance peak at iron (Z = 26) and nickel (Z = 28). Stellar evolution depends strongly on mass of the star. Star masses range from ~0.1 to ~100 solar masses. Their lifetimes range from 106 years for the biggest stars to 1012 years for the smallest stars. Towards the end of their life mature stars may expand into red giants with dense stellar winds forming circumstellar envelopes in which molecules and dust particles can form. More massive stars shed their outer shells while their cores collapse into neutron stars or black holes. The elemental, isotopic, and mineralogical composition of all this stardust reflects the composition of the outer shell of the corresponding parent star.
.jpg)
Already in 1860 Angelo Secchi identified carbon stars as a separate class of stars. Carbon stars are characterized by their dominant spectral Swan bands from the molecule C2 and their ruby red colour caused by soot-like substances. Also silicon carbide has been observed in the outflows of carbon stars.[52] Since the advent of infrared astronomy dust in stellar outflows became observable.[50] Bands at 10 and 18 microns wavelength were observed around many late-type giant stars[53] indicating the presence of silicate dust in circumstellar envelopes. Oxides of the metals Al, Mg, Fe and others are suspected to be emitted from oxygen-rich stars.[54] Dust is observed in Supernova remnants like the Crab Nebula[55] and in contemporary Supernovae explosions[56] These observations indicate that most dust in the interstellar medium is created by Supernovae.[57]
Traces of star dust have been found in presolar grains contained in meteorites. Star dust grains are identified by their unique isotopic composition that is different from that in the Solar System's matter as well as from the galactic average. Presolar grains formed within outflowing and cooling gases from earlier presolar stars and have an isotopic composition unique to that parent star. These isotopic signatures are often fingerprints of very specific astrophysical nuclear reactions that took place within the parent star.[58] Unusual isotopic signatures of neon and xenon[59] have been found in extraterrestrial diamond grains[60] and silicon carbide grains. The silicon isotopes within the SiC grains have isotopic ratios like those expected in red-giant stars.[61] Some presolar grains are composed primarily of 44Ca which is presumably the remains of the extinct radionuclide 44Ti, a titanium isotope that was formed in abundance in Type II supernovae.[62]
Interstellar medium and star formation regions

The interstellar medium is a melting pot of gas and dust emitted from stars. The composition of the interstellar medium is the result of nucleosynthesis in stars since the Big Bang and is represented by the abundance of the chemical elements. It consists of three phases: (1) dense, cold, and dusty Dark nebulas, (2) diffuse clouds, and (3) hot coronal gas. Dark nebula are Molecular clouds that contain molecular hydrogen and other molecules that have formed in gas phase and on dust grain surfaces. Any gas atom or molecule that hits a cold dust grain will be adsorbed and may recombine with other adsorbed atoms or molecules or with molecules of the dust grain or may just be deposited at the grain surface. Diffuse clouds are warm, neutral, or ionized envelopes of molecular clouds. Both are observable in the galactic disk. Hot coronal gas is heated by supernova explosions and energetic stellar winds. This environment is destructive for molecules and small dust particles and extends into the galactic corona.
In the Milky Way cold dark nebula are concentrated in spiral arms and around the Galactic Center. Dark nebulae are dark because naked interstellar dust or dust covered with condensed gases absorb visible light by extinction and remit infrared and submillimetre radiation. Infrared emission from the dust cools the clouds down to 10 to 20 K.[63] The largest dark nebula are giant molecular clouds that contain 10 thousand to 10 million solar masses and are 5 to 200 parsecs (pc) in size. The smallest are Bok globules of a few to 50 solar masses and ~1 pc across.
When a dense cloud becomes cold enough and the gas pressure is insufficient to support it, the cloud will undergo gravitational collapse and fragments into smaller clouds of about stellar mass. Such star formation will result in a gravitationally bound open cluster of stars or an unbound stellar association. In each collapsing cloud gas and dust is drawn inward toward the center of gravity. The heat generated by the collapse in a protostellar cloud will heat up an accretion disk that feeds the central protostar. The most massive stars evolve fast into luminous O and B stars that ultimately disperse the surrounding gas and dust by radiation pressure and strong stellar winds into the diffuse interstellar medium.

Solar mass-type stars take more time and develop a protoplanetary disk consisting of gas and dust with strong radial density and temperature gradients; with highest values close to the central protostar. At temperatures below 1300 K fine-grained minerals condensed from the hot gas; like the calcium–aluminium-rich inclusions found in carbonaceous chondrite meteorites. There is another important temperature limit in the protoplanetary disk at ~150 K, the snow line; outside which it is cold enough for volatile compounds such as water, ammonia, methane, carbon dioxide, carbon monoxide, and nitrogen to condense into solid ice grains.[64] Inside the snow line the terrestrial planets have formed; outside of which the gas giants and their icy moons have formed.
In the protoplanetary disk dust and gas evolve to planets in three phases.[65] In the first phase micron-sized dust is carried by the gas and collisions between dust particles occur by Brownian motion at low speed. Through ballistic agglomeration dust (and ice) grains grow to cm-sized aggregates. In the second phase cm-sized pebbles grow to km-sized planetesimals. (cf. section on Dust accretion). It comprises the formation of chondrules in the region of the terrestrial planets. Theories of chondrule formation include solar nebula lightning; nebular shocks,[66] and meteoroid collisions.[67] In this phase dust decouples from the gas and move on Kepler orbits around the central protostar slowly settling near the middle plane of the disk. In this dense layer particles can grow by gravitational instability and streaming instability to km-sized planetesimals.[68][69] The third phase is the runaway accretion of planetesimals by self-gravitation to form planetary embryos that eventually merge into planets.
During this planet formation stage the central star becomes a T Tauri star at which it is powered by gravitational energy released as the star contracts until hydrogen fusion begins. T Tauri stars have extremely powerful stellar winds that clear the remaining gas and dust form the protoplanetary disk and the growth of planetary objects stops.
Local interstellar medium

The Sun is located 8,300 pc from the center of the galaxy on the inner edge of the Orion Arm within the diffuse Local Interstellar Cloud (LIC) of the Local Bubble. The Local Bubble was created by supernovae explosions in the nearest (~130 pc) star formation region of the Scorpius–Centaurus association. Several partially ionized warm "clouds" of interstellar gas are located within a few parsecs of the Sun. Their hydrogen density is about 5 times higher than that of the Local Bubble.[70] For the last several ten thousand years the Sun passed through the LIC but within a few 1000 years the Sun will enter the nearby G cloud. Interstellar dust grains smaller than 10 microns couple to the LIC gas via the interstellar magnetic field over a scale length <1 pc.[71] The LIC is a warm tenuous partially ionized cloud (T ≈ 7000 K, nH + nH+ ≈ 0.3 cm−3) surrounding the Solar System.[72] It streams at ≈ 26 km/s around the Solar System.[73]
The heliopause is 100 to 150 AU from the Sun in the upstream direction that separates the interstellar medium from the heliosphere. Only neutral atoms and dust particles >0.1 micron can penetrate the heliopause and enter the heliosphere.[74] The Ulysses instruments GAS and DUST discovered flows of interstellar helium and interstellar dust particles passing through the inner Solar System.[73][75] Both flow directions in the ecliptic coordinate system are very similar at ecliptic longitude l ≈ 74°, ecliptic latitude b ≈ -5°. Ulysses monitored the dust flow over 16 years and found a strong variation with the solar cycle that is due to the variations in the interplanetary magnetic field which followed the 22-year solar dynamo cycle.[76][77] The first compositional analyses of interstellar dust particles are available from the Cassini Cosmic Dust Analyzer and the interstellar dust collection by the Stardust mission. The moderate resolution spectra of interstellar dust suggest magnesium-rich grains of silicate and oxide composition, some with iron inclusions.[27] Future high mass resolution dust telescope analyses will provide a sharper view on the composition of interstellar dust. Samples from the Stardust mission found seven probable interstellar grains; their detailed investigation is ongoing.[13] Future collections with an active dust collector may improve the quality and quantity of interstellar dust collections.[78]
Trans-Neptunian objects and comets

Trans-Neptunian objects, TNOs, are small Solar System bodies and dwarf planets that orbit the Sun at greater average distances than Neptune's orbit at 30 AU. They include Kuiper belt and scattered disc objects and Oort cloud comets. These icy planetesimals and dwarf planets orbit the Sun inside and beyond the heliosphere in the interstellar medium at distances out to ~100,000 AU. In order to explain the number of observed short period comets Fernández proposed a comet belt outside Neptune's orbit[79] that led to the subsequent discovery of many TNOs and, especially, Kuiper belt objects.[80]
The Kuiper belt extends between Neptune's orbit at 35 AU and ~55 AU. The most massive classical Kuiper belt objects have semi-major axis between 39 AU and 48 AU corresponding to the 2:3 and 1:2 resonances with Neptune. The Kuiper belt is thought to consist of planetesimals and dwarf planets from the original protoplanetary disc in which the orbits of Kuiper belt objects have been strongly influenced by Jupiter and Neptune. Mutual collisions in today's Kuiper belt generate dust[81] that has been observed by the Venetia Burney Student Dust Counter on the New Horizons space probe.[82] By the action of Pointing-Robertson drag and planetary scattering this dust can reach within 107 to 108 years the inner planetary system.[83]
The sparsely populated scattered disk extends beyond the Kuiper belt out to ~100 AU. Scattered disk objects are still close enough to Neptune to be perturbed by Neptune's gravitation. This interaction can send them outward into the Oort cloud or inward into the Centaur population.[84] The scattered disc is believed to be the source region of the centaurs and the short-period comets observed in the inner planetary system.[85]
The hypothesized Oort cloud is thought to be a spherical cloud of icy bodies extending from outside the Kuiper belt and the scattered disk to halfway to the nearest star. During planet formation interactions of protoplanetary disk objects with the already developed Jupiter and Neptune resulted in the scattered disc and the Oort cloud.[86] While the Sun was in its birth cluster it may have shared comets from the outskirts protoplanetary discs of other stars.[87] In the scattering processes during planet formation many planetesimals may have become unbound to solar gravitation and became interstellar objects just like ʻOumuamua the first interstellar object detected passing through the Solar System.[88] From the Oort cloud long-period comets are disturbed towards the Sun by gravitational perturbations caused by passing stars. Long-period comets have highly eccentric orbits and periods ranging from 200 years to millions of years and their orbital inclination is roughly isotropic.[89] Most comets (several thousands) observed by ground-based observers or automated observatories (e.g. Pan-STARRS) or by near-Earth spacecraft (e.g. SOHO) are long-period comets that had only one apparition. Comet Halley and other Halley type comets (HTCs) have periods of 20 to 200 years and inclinations from 0 to 180 degrees. HTCs are believed to derive from long-period comets.[90]
Once a Kuiper belt or scattered disk object is scattered by Neptune into an orbit with a perihelion distance well inside Neptune's orbit its orbit becomes unstable because it will eventually cross the orbits of one or more of the giant planets. Such objects are called Centaurs. Centaur orbits have dynamic lifetimes of only a few million years.[91] Some centaur orbits will evolve into Jupiter-crossing orbits and become Jupiter family comets, or collide with the Sun or a planet, or they may be ejected into interstellar space. Centaurs like 2060 Chiron and 29P/Schwassmann-Wachmann display comet-like dust comas. During their inward migration the top layers (~100 m) of the comet's surface heat up and lose much of the volatile ices CO, N2).[92] CO2-ice sublimates at about Jupiter distance (e.g. 29P/Schwassmann-Wachmann).[93]

Most periodic comets are Jupiter-family comets (JFCs) that have orbital periods less than 12 years and aphelia close to Jupiter. JFCs originate from Centaurs. Inside three AU distance from the Sun water ice sublimation becomes the dominant driver of activity but also other volatile ices like CO2 ice play an important role in cometary activity. The sublimated gases carry micron-sized dust grains to form an observable coma and tail during their perihelion passage. Infrared observations show that many JFCs exhibit a debris trail of up to cm-sized particles along the comet's orbit.[95] When the Earth passes through a comet trail a meteor shower is observed.
The dynamical lifetimes of JFCs is few 105 years before they are eliminated from the Solar System by Jupiter or they collide with a planet or the Sun.[96] However, their active lifetimes are ~10 time shorter because volatile ices vanished from the upper surface layers. They may reawaken again, e.g. when their orbits become much closer to the Sun. Comet Encke is such a case. Its orbit is decoupled from Jupiter; its aphelion distance is only 4.1 AU. It must have been dormant for long time until it reached its present orbit.[97]
As of 2022 eight comets have been visited by spacecraft with remote sensing and fields and particles instrumentation but only for comets 1P/Halley, 81P/Wild 2 and 67P/Churyumov–Gerasimenko additional compositional analyses were obtained from dust composition analyzers. Close range measurements of dust from 1P/Comet Halley by the PIA and PUMA dust analyzers onboard the Giotto and Vega spacecraft showed that dust particles had mostly chondritic composition but were rich in light elements such as H, C, N and O.[22] The Stardust cometary samples were a mix of different components that included presolar grains like SiC grains and high temperature solar nebula condensates like calcium–aluminium-rich inclusions (CAIs) found in primitive meteorites. [98]

The COSIMA dust composition analyzers on board Rosetta mission measured the D/H ratio in cometary organics and found that it is between the value on Earth and that in solar-like protostellar regions.[40] The ROSINA gas analyser on Rosetta found that sublimating ice particles are emitted from the active areas on the nucleus.[43] Rosetta observations found that 67P/Churyumov–Gerasimenko has a density of only 540 kg/m−3 - much less than any solid material or water ice, therefore, this cometary material is highly porous (~70%).[99] Most of the sub-mm dust particles collected by Rosetta instruments consisted of aggregates of smaller micrometer-sized subunits[100] that may themselves were aggregates of ~100 nm particles.[41] The temperature at a cometary surface is generally near the local blackbody temperature; which suggests the existence of an inactive dust mantle covering large parts of the surface of the nucleus.[101] Therefore, sublimation of ices from the cometary surface and the consequent emission of the embedded dust is not a simple process. The heat from solar illumination has to reach the lower lying ices and the cohesive dust mantle has to be broken. This process has been observed in lab simulations.[102] Large outbursts of gas and dust caused by landslides[103] and even explosions[104] have been observed by Rosetta during its rendezvous with 67P/Churyumov–Gerasimenko.[105]
Sublimation of subsurface supervolatile ices reside at depth much larger than 10 m below the surface. When the solar heat wave reaches this depth it may cause runaway sublimation and subsequent disintegration of the whole nucleus,[106] like in the case of 73P/Schwassmann-Wachmann. In September 1995, this comet began to disintegrate and to release fragments and large amounts of debris and dust along its orbit.[107] Other processes leading to splitting of comets are tidal stresses and spin-up disruption of the nucleus. Cometary splitting is a rather common phenomenon at a rate of ~1 per 100 years per comet. This large rate suggests that splitting may be an important destructive process for cometary nuclei and the generation of cometary debris.[108]
Asteroids

Asteroids are remnants of the protoplanetary disc in a region where gravitational perturbations by Jupiter prevented the accretion of planetesimals into planets. The orbit distribution of asteroids is controlled by Jupiter. The greatest concentration of asteroids (main-belt asteroids) have semimajor axes between at 2.06 and 3.27 AU where the strong 4:1 and 2:1 orbital resonances with Jupiter (Kirkwood gaps) lie. Their orbits have eccentricities less than 0.33 and inclinations below 30°. At Jupiter distance are the three specific dynamic groups of asteroids. The Trojans share the orbit of Jupiter. They are divided into the Greeks at L4 (ahead of Jupiter) and the Trojans at L5 (trailing Jupiter). The Hilda asteroids are a dynamical group beyond the asteroid belt but within Jupiter's orbit, in a 3:2 orbital resonance with Jupiter.[109] Inside the asteroid belt are Earth-crossing asteroids, that have orbits that pass close to that of Earth. Sizes of asteroids range from the large dwarf planet Ceres at ~1000 km diameter down to m-sized objects, below which they are called meteoroids or dust. The size distribution of asteroids smaller than ~100 km in size follows the steady state collisional fragmentation distribution of Dohnanyi.[110]
Most asteroids formed inside the snow line from mostly chondritic planetesimals and protoplanets over 4.54 billion years ago. Once these protoplanets reached a size of several 100 km heating by radioactivity, impacts, and gravitational pressure melted parts of protoplanets and planetary differentiation set in. Heavier elements (iron and nickel) sank to the center, whereas lighter elements (stony materials) rose to the surface. Further collisions in the asteroid belt destroyed such parent objects and left fragments of very different composition and spectral types in emission, color, and albedo. C-type asteroids are the most common variety (~75%) of known asteroids. They are volatile-rich and have very low albedo because their composition includes a large amount of carbon. Reddish M-type asteroids are considered to be remnant cores of early protoplanets, while S-type asteroids (17%) of moderate albedo are fragments of the siliceous crust. These asteroid types are the parents of the respective meteorite classes.[111] Recently Active asteroid have been observed that eject dust and produce transient, comet-like comae and tails. Potential causes of activity are sublimation of asteroidal ice, impact ejection, rotational instabilities, electrostatic repulsion, and thermal fracture.[112]

In the early 1970s the Pioneer 10 and 11 traversed the asteroid belt en route to Jupiter and Saturn. The dust instruments on board, both the penetration detectors and the Zodiacal light instruments did not find an enhanced dust density in the asteroid belt.[113][114] In 1983 the Infrared Astronomical Satellite (IRAS) mapped the infrared sky brightness and several Solar System dust bands were found in the data.[115] These dust bands were interpreted to be debris produced by recent collisional disruptions of main-belt asteroids. Detailed analysis of candidate asteroids revealed that collisions in the Veritas asteroid family at 3.17 AU, the Koronis family at 2.86 AU about 8 Myr ago,[116] and the Karin Cluster formed about 5.7 Myr ago from a collision of progenitor asteroids.[117] In the early 1990s the Galileo space probe took the first photos of the asteroids 951 Gaspra and 243 Ida. As of 2022 15 asteroids have been visited by spacecraft with three sample-return missions: The S-type asteroid 25143 Itokawa has been visited by Hayabusa in 2005 and returned the sample in 2010, The C-type asteroid 162173 Ryugu has been visited by Hayabusa2 in 2018 and returned the sample in 2020, and C-type asteroid 101955 Bennu has been visited by OSIRIS-REx in 2018 and sample return is planned for 2023. Sample analyses confirmed and refined their meteorite connections.[118][119] CNSA's Tianwen-2 was launched in May 2025,[120] to explore the co-orbital near-Earth asteroid 469219 Kamoʻoalewa and the active asteroid 311P/PanSTARRS and collecting samples of the regolith of Kamo'oalewa.[121]
Small Solar System bodies and dust

Small Solar System objects in interplanetary space range from sub-micrometer-sized dust particles to km-sized comets and asteroids. Fluxes of the smallest interplanetary objects have been determined from lunar microcrater counts and spacecraft measurements [122] and meteor and NEO observations.[123] Currently, small solar system bodies at 1 AU are in a destructive collisional regime. Meteoroids at Earth distance have a mean mutual collision speed of ~20 km/s. At that speed meteoroids can catastrophically disrupt more than 10 times bigger objects and generate numerous smaller fragments.
Dohnanyi[124] demonstrated that asteroids of <100 km diameter reached a collisional steady-state which means that in each mass interval the number of asteroids destroyed by collisions equals the number of same mass fragments generated by collisions from bigger asteroids. This is the case for a cumulative mass distribution F ~ m−0.837. At 1 AU meteoroids bigger than 1 mm in size are in a collisional steady state. The significant excess of smaller meteoroids is due to the input from comets. Models of the interplanetary dust environment of the Earth result in 80-90% of cometary dust vs. only 10-20% of asteroidal dust.[125][126] The shortage of dust particles <1 micron is due to the rapid dispersion by the Poynting-Robertson effect and by direct radiation pressure.

In planetary systems collisions play also an important role in generating dust particles. A good example are the Rings of Jupiter. This ring system was discovered by the Voyager 1 space probe and later studied in detail by the Galileo orbiter. It was best seen when the spacecraft was in Jupiter's shadow looking back toward the Sun. Jupiter's ring system is composed of three parts: an outermost gossamer ring, a flat main ring, and an innermost donut-shaped halo which are related to the small inner moons Thebe, Amalthea, Adrastea, and Metis. Bombardment of the moons by interplanetary dust causes the erosion of these satellites and other smaller unseen bodies. The eroded mass is mostly in form of micron-size ejecta particles that escape the gravitation of their source moon and that are seen in the rings.[127][128] Due to the low escape speeds of 1 to a few 10 m/s most ejecta particles can leave the gravitation of the satellite and feed the Jupiter rings. Measurements by the Galileo dust detector during its passage through the gossamer ring found that the dust particles detected in the ring have sizes of 0.5 − 2.5 microns; with only the biggest particles visible in the camera images.[129] Besides Jovian gravity and the Poynting-Robertson drag micron-sized particles become electrically charged in the energetic Jovian magnetosphere[130] and hence feel the Lorentz force of the powerful magnetic field of Jupiter. All these forces shape the appearance of the rings. Especially, the orbital inclinations of particles in the inner halo are excited by the electromagnetic interaction forcing them to plunge into the Jovian atmosphere. Even the much bigger Galilean moons are surrounded by ejecta dust clouds of a few 1000 km thickness as observed by the Galileo dust detector.[131] Around the Earth Moon the Lunar Dust Experiment (LDEX) on the LADEE mission mapped the dust cloud from 20 to 100 km altitude and found ejecta speeds from 100 m/s to a few km/s; but only a tiny fraction of them escape the gravitation of the Moon.[132]
Also other planets with satellites display a variety of dust ring phenomena. In the massive and dense main rings of Saturn ice particles aggregate to cm-sized and bigger bodies that are continually forming and disintegrating by jostling and tidal force. Just outside Saturn's main rings is the F ring that is shepherded by a pair of moons, Prometheus and Pandora, that interact gravitationally with the ring and act like sinks and donors of dust. Beyond the extended E ring that is fed by cryovolcanism on Enceladus is the Phoebe ring, that is fed meteoroid ejecta from Phoebe that share its retrograde motion. Also Uranus and Neptune have complex ring systems. Besides the narrow main rings of Uranus that are shepherded by satellites there are broad dusty rings. The rings of Neptune consist of narrow and broad dust rings that interact with the inner moons. Even Mars is suspected to have dust rings originating from its moons Phobos and Deimos. Up to now the Mars rings escaped their detection.[133] Even the Earth is developing a human-made space debris belt of defunct artificial satellites and abandoned launch vehicles. Collisions between these objects could cause a collisional cascade, called Kessler syndrome, in which each collision generates more space debris that increases the likelihood of further collisions.[134]
Volcanoes and geysers

Venus, Earth, and Mars display signs of ancient or current volcanism. All these planets have a solid crust and a fluid mantle that is heated by internal heat from the planet's formation and the decay of radioactive isotopes. The most explosive volcanic eruptions observed on Earth have plumes of gas and ash up to 40 km height; but no volcanic dust escapes the atmosphere or even the gravitational attraction (Hill sphere) of the Earth. Similar conclusions can be drawn for the suspected active volcanism on Venus.
In smaller planetary bodies heat loss through the surface is larger and hence the internal heat, may not drive active volcanism at the present time. Therefore, it came as a surprise when the twin probes Voyager 1 and Voyager 2 flew through the Jovian system in 1979 and photographed plumes of several volcanoes on Jupiter's moon Io. Only weeks before the flyby Peale, Cassen. and Reynolds (1979)[135] predicted that Io's interior must experience significant tidal heating caused by its orbital resonance with neighbouring moons Europa and Ganymede. Temperature measurements in hotspots by the Galileo spacecraft showed that basaltic magma drives the volcanism on Io. Umbrella-shaped plumes of volatiles like sulfur, sulfur dioxide, and other pyroclasts are ejected skyward from some of Io's volcanoes. E.g. Io's volcano Tvashtar Paterae erupts material more than 300 kilometres above the surface.[136] The ejection speed at the vent is up to 1 km/s which is much below the escape speed from Io of 2.5 km/s, therefore, none of this visible dust escapes Io's gravity. Most of the plume material falls back to the surface as sulphur and sulphur dioxide frost, and pyroclasts. However, in 1992 during its Jupiter flyby the dust detector on the Ulysses mission detected streams of 10 nm-sized dust particles emanating from the Jupiter direction.[75][137] Subsequent measurements by the Galileo dust detector within the magnetosphere of Jupiter analysed the periodic dust streams and identified Io as source.[138] Nanometer-sized dust particles that are emitted by Io's volcanoes become electrically charged in the Io plasma torus and feel the strong magnetic field of Jupiter. Positively charged dust particles between 10 and 100 nm radius escape Io's and even Jupiter's gravity and enter interplanetary space.[139][140] During the flyby of the Cassini mission of Jupiter the Cosmic Dust Analyzer (CDA) onboard chemically analysed these stream particles and found sodium chloride as well as sulphur and potassium bearing components,[24] that have also been found by spectroscopic analyses of Io's atmosphere.[141]

Saturn's tenuous E ring was discovered by observations from Earth distance at times of Saturn's ring plane crossings. It has a maximum density at ~4 Saturn radii, , which coincides with the orbit of Enceladus. Spacecraft observations by Voyager 1 and 2, and Cassini confirmed these observations. The E ring extends between the orbits of Mimas at 3 and Titan at 20 . The E ring consists of many tiny (micron and sub-micron) particles of water ice with silicates, carbon dioxide, ammonia, and other impurities. [142] Cassini observations demonstrated that Enceladus and the E ring are genetically related. During Cassini's close flyby of Enceladus several instruments including the Cosmic Dust Analyzer observed fountains (geysers) of water vapour and micron-sized ice particles in Enceladus' south polar region.[143][144] CDA analyses of sodium-salt-rich ice grains in the plumes suggest that the grains formed from a liquid water reservoir that is in contact with rock.[145][146] The mechanism that drives and sustains the eruptions is thought to be tidal heating caused by the orbital resonance with Dione that excites Enceladus' orbital eccentricity. The ice grains escaping Enceladus' fountains feed and maintain Saturn's E ring.
Similar water vapor plumes were observed by the Hubble Space Telescope above the south polar region of Europa, one of Jupiter's Galilean moons. [147] NASA's future Europa Clipper mission (planned launch date 2024) with its Surface Dust Analyser (SUDA) will analyse small solid particles ejected from Europa by meteoroid impacts and ice particles in potential plumes. [44]
During the Voyager 2 flyby of Neptune in 1989 active dark plumes were observed on the surface of its moon Triton. These plumes are thought to consist of dust and ice particles carried by invisible nitrogen gas jets.[148]
Cosmic dust dynamics
Dynamics of dust particles in space are affected by various forces that determine their trajectories, resp. their orbits. These forces depend on the position of the dust particle with respect to massive bodies and the environmental conditions.
Gravity

In interplanetary space a major force is due to solar gravity that attracts similarly planets and dust particles: where FG is the force, M = M☉ is the Solar mass, and m is the mass of the object interacting, r is the distance between the centers of the masses and G is the gravitational constant. Planets and small Solar System bodies including interplanetary dust follow Kepler orbits (ellipses, parabolas, or hyperbolas) around the Sun with their barycenter in the foci. The orbits are characterised by the six orbital elements: semimajor axis (a), eccentricity (e), inclination (i), longitude of the ascending node, argument of periapsis, and true anomaly. Although small, planets exert gravitational a force on distant objects. If this force is regular and periodic then such an orbital resonance can stabilize or destabilize orbits of planetary objects. Examples are the Kirkwood gaps in the asteroid belt that are caused by Jupiter resonances and the structure of the Kuiper belt that is caused by Neptune resonances.
Close encounters with a planet can occur when the perihelion of the small body's orbit is closer and the aphelion is further from the sun than the perturbing planet. This is the necessary condition for orbit scattering to occur; it defines the scattering zone of a planet. In this case a small body or a dust particle can undergo a major orbit perturbation. However, the Tisserand's parameters of the old and the new orbit remains approximately the same. For a small body with semimajor axis a, orbital eccentricity e, and orbital inclination i, and a perturbing planet with semimajor axis the Tisserand's parameter is
- .
Two families of small Solar System bodies lie outside the scattering zones of the giant planets and are remnants of the primordial protoplanetary disc around the Sun: asteroids and the Kuiper belt objects. The Kuiper belt is approx. 100 times more massive than the asteroid belt and is part of the trans-Neptunian objects (TNOs).[149][150] The other part of TNOs is the scattered disk with objects having orbits in the scattering zone of Neptune. At high eccentricities (or high inclinations) the scattering zones of neighboring planets overlap. Therefore, scattered disk objects can evolve into Centaurs and, eventually, into Jupiter-family comets. Inside the Jupiter scattering disk is the Zodiacal cloud consisting of interplanetary dust that originates from comets and asteroids. Also dust particles from the Kuiper belt find the scattering passage to the inner planetary system.[151]
Inside the Hill sphere of a planet its gravity dominates the gravity of the sun. All planetary moons and rings are located well inside the Hill sphere and orbit the corresponding planet. Gravitational interactions between such satellites can be seen, e.g., in the stable 1:2:4 orbital resonance of Jupiter's moons Ganymede, Europa and Io. Also subdivisions and structures within the rings of Saturn are caused by resonances with satellites. E.g. the gap between the inner B Ring and the outer A Ring has been cleared by a 2:1 resonance with the moon Mimas. Also some narrow discrete rings of Saturn, Uranus, and Neptune like Saturn's F ring are shaped and held in place by the gravity of one or two shepherd moons.
Solar radiation pressure effects

Solar radiation exerts the repulsive radiation pressure force FR on meteoroids and interplanetary dust particles:
where is the solar luminosity or is the solar irradiance at heliocentric distance r, is the radiation pressure coefficient of the particle, is the cross section (for spherical particles with particle radius ), is the speed of light.[154] The radiation pressure coefficient, , depends on optical properties of the particle like absorption, reflection, and light scattering integrated over all wavelengths of the solar spectrum. It can be calculated by using e.g. Mie theorie, discrete dipole approximation, or even microwave analog experiments.[155]
Solar radiation pressure reduces the effective force of gravity on a dust particle and is characterized by the dimensionless parameter , the ratio of the radiation pressure force to the force of gravity on the particle:
where is the density and is the size (the radius) of the dust grain. Cometary particles with > 0.1 already have significantly different heliocentric orbits than their parent comet and show up in the dust tail. Dust particles released from a comet (with eccentricity ) near its perihelion will leave the Solar System on hyperbolic orbits if their beta values exceed . Even particles with that are released from an asteroid on a circular orbit around the Sun will leave the Solar System on an unbound parabolic orbit.[156] Small dust particles with are called -meteoroids; they feel a net repulsive force from the Sun.[157]

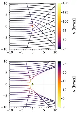
The trajectories of interstellar dust, which are initially parallel upon entering the Solar System, depend on the particles' -ratio. Particles with are predominantly attracted by solar gravity; their trajectories are bent towards the Sun. The closer they pass by the Sun, the faster the particles are accelerated, and the stronger they deviate from their initial direction. The trajectories of these particles cross behind the Sun, increasing the dust density there; this is referred to as gravitational focusing. Interstellar dust particles with are predominantly repulsed by solar radiation pressure. They cannot approach the Sun below a certain distance that depends on how large their is. This region that is free of interstellar dust is paraboloidal in shape; it is referred to as the -cone. At the outer edge of the -cone the dust density is enhanced.[158]
The solar radiation pressure force on a particle orbiting the Sun acts not only radially but, because of the finite speed of light there is a small force opposite to the particle's orbit motion. This Poynting–Robertson drag causes the particle to lose angular momentum and, hence, to spiral inward to the Sun. The time, in years, of a particle with a force ratio, , to spiral from an initially circular orbit with radius, in AU, is
Centimeter-sized particles with ~10−4 starting from a circular orbit at Earth distance take about 4 million years to spiral into the sun.[159] This example demonstrates that all dust smaller than ~1 cm in size must have entered recently the inner planetary system in form of cometary, asteroidal, or interstellar dust; no dust is left there from the times of planetary formation.
Dust charging and electromagnetic interactions

Dust particles in most space environments are exposed to electric charging currents. Dominant processes are collection of electrons and ions from the ambient plasma, the photoelectric effect from UV radiation, and secondary electron emission from energetic ion or electron radiation.[160] Collection of electrons and ions from the ambient thermal plasma lead to net negative charging because of the much higher thermal electron speed than the ion speed. In contrast to charging in a plasma, photo emission of electrons from the particle by UV radiation leads to positive charging. The impact of energetic ions or electrons with energies >100 eV onto the particle may generate more than one secondary electron and, hence, lead to a positive charging current. The secondary electron yields are dependent on the type and energy of the energetic particle and the particle material.[161] The balance of all charging currents leads to the equilibrium surface potential of the particle. The electric charge, Q, of a dust particle of radius s at a surface potential, U, in space is
where ε0 is the permittivity of vacuum. [162]
A dust particle of charge Q moving with a velocity v in an electric field E and a magnetic field B experiences the Lorentz force of In SI units, B is measured in teslas (T).

The surface potential of a dust particles and, hence its charge depends on the detailed properties of the ambient environment. For example, an interplanetary dust particle at 1 AU from the Sun is surrounded by solar wind plasma of ~10 eV energy and a density of typically protons and electrons per m3. The photoelectron flux is typically electrons per m2 and, hence, much larger than the plasma currents. This condition leads to a surface potential of ≈+3 V.[160] Actual measurements of dust charges by Cassini CDA resulted in a surface potential +2 to +7 V.[28] Since both the solar wind plasma density and the solar UV flux scale with heliocentric distance the surface potential of interplanetary dust, +5 V, is also typical for other distances from the Sun. The interplanetary magnetic field is the component of the solar magnetic field that is dragged out from the solar corona by the solar wind. The slow wind (≈ 400 km/s) is confined to the equatorial regions, while fast wind (≈750 km/s) is seen over the poles.[163] The rotation of the Sun twists the dipolar magnetic field and corresponding current sheet into an Archimedean spiral. This heliospheric current sheet has a shape similar to a swirled ballerina skirt, and changes in shape through the solar cycle as the Sun's magnetic field reverses about every 11 years. A charged dust particle feels the Lorentz force of the interplanetary magnetic field that passes by at solar wind speed. At 1 AU from the Sun the average solar wind speed is 450 km/s and the magnetic field strength 5×10−9 T = 5 nT. For submicron-sized dust particles this force becomes significant and for particles < 0.1 microns it exceeds solar gravity and the radiation pressure force. For example, interstellar dust particles of ~0.3 microns in size that pass through the heliosphere are either focused or defocused with respect to the solar magnetic equator.[158][164] A typical measure for how strongly a dust particle is affected by the Lorentz force is its charge-to-mass ratio, .[165] Because the charge of a particle increases linearly with its size, whereas its mass and volume increase with the cube of its size, small particles typically have a much higher charge-to-mass ratio than large particles and are more strongly affected by the Lorentz force. Nevertheless, interstellar dust particles of all sizes are focused or defocused as long as they are charged. This focusing and defocusing is strongest during and close to the respective solar minimum, which for the defocusing occurred in the years surrounding, for example, 1996 and 2019, and for the focusing occurred in the years surrounding, for example, 1986 and 2008. The current phase of the solar magnetic cycle corresponds to the defocusing of interstellar dust away from the ecliptic plane, which is unfavourable for detecting and measuring interstellar dust. The next focusing phase of the solar magnetic cycle, which is best suited for interstellar dust measurements within the solar system, will occur in the 2030s. Because these phases occur every 22 years, the following focusing phase will be in the 2050s.

Very different conditions exist in planetary magnetospheres. An extreme case is the magnetosphere of Jupiter where the volcanically active moon Io is a strong source of plasma at 6 , where = 7.1×104 km is the radius of Jupiter. At this distance is the peak of the plasma density (3×109 m−3) and the plasma energy has a strong minimum at ~1 eV. Outside this distance the plasma energy rises sharply to 80 eV at 8 . The resulting dust surface potentials range from -30 V in the cold plasma between 4 and 6 and +3 V elsewhere.[166] Jupiter's magnetic field is mostly a dipole, with the magnetic axis tilted by ~10° to Jupiter's rotation axis. Out to about 10 from Jupiter the magnetic field and the plasma co-rotates with the planet. At Io's distance the co-rotating magnetic field passes by Io at a speed of 17 km/s and the magnetic field strength 2×10−6 T = 2000 nT. Positively charged dust particles from Io in the size (radius) range from 9 to ~120 nanometers are picked up by the strong magnetic field and accelerated out of the Jovian system at speeds up to 350 km/s. For smaller particles the Lorentz force dominates and they gyrate around the magnetic field lines just like ions and electrons do.[167]
In Saturn's magnetosphere the active moon Enceladus at 4 ( = 6.0×104 km is Saturn's radius) is a source of oxygen and water ions at a density of 109 m−3 and an energy 5 eV. Dust particles are charged to a surface potential of -1 and -2 V. Outside 4 the ion energy increases to 100 eV and the resulting surface potential rises to +5 V.[168] Measurements by Cassini CDA observed this switch of the dust potential directly.[169]
In the partially ionized local interstellar medium the plasma density is about 105 to 106 m−3 and the thermal energy 0.6 eV.[72] The photoelectron flux of carbon or silicate particles from the average galactic UV radiation is 1.4×1010 electrons per m2. The resultant surface potential of the dust particles is ~+0.5 V. In the hot but tenuous plasma of the Local Bubble (density 105 m−3, energy 100 eV) dust will be charged to +5 to +10 V surface potential.[170] In the local interstellar medium a magnetic field strength of ~0.5 nT has been measured by the Voyager spacecraft. In such a magnetic field a charged micron sized dust particle has a gyroradius < 1 pc.[171]
Cosmic dust processes
Cosmic dust particles in space are affected by various effects that change their physical, and chemical properties.
Dust accretion
Dust accretion describes the processes of dust agglomeration from nanometer-sized dust, evolving into pebbles several centimeters wide, and eventually coalescing into kilometer-sized planetesimals and full-fledged planets.
Nanometer-sized solid condensates originate within circumstellar envelopes or Supernova ejecta,[172] forming the nuclei of dust particles scattered across the universe. These particles integrate into the ambient interstellar medium (ISM). Despite constituting only ~1% of the gas mass density in the ISM, dust particles become intertwined with surrounding gas clouds through friction. The frictional drag scale, ldrag signifies the distance a dust particle of mass md traverses to accumulate an equivalent mass of interstellar gas (primarily hydrogen):
where Ad refers to the particle’s cross section, nH is the local gas density, and mH = kg is the atomic mass of hydrogen.[173]
In the low-density ( H atoms per ) diffuse interstellar medium, dust particles up to micron size couple with gas clouds within a frictional scale of less than 1 pc. Within the denser, colder interstellar medium found in molecular clouds (nH = ), the growth of grains occurs through the accretion of gas-phase elements, leading to an augmentation in dust mass. Predominant components of icy mantles include H2O, NH3, CO2, CO, CH3OH, OCS, and functional groups of complex organic molecules.[174][175] These dust formations act as shields for molecular gases within dense clouds, safeguarding them against dissociation caused by ultraviolet radiation. The visible darkness of these ice mantles contributes to the characteristic appearance of dense clouds, often referred to as dark clouds. The most condensed areas within molecular clouds initiate gravitational collapse, carrying dust along and giving rise to star-forming regions. These condensations evolve into rotating gas spheres, eventually forming protostars.

As a result of the conservation of angular momentum, the collapsing nebula spins faster and flattens into a protoplanetary disk spanning tens to hundreds of astronomical units (AU) in diameter. Throughout the collapse, the cloud's density escalates towards the center, leading to increased temperatures due to gravitational contraction. In a protoplanetary disk, both gas and dust densities increase by over a factor of 1000 during collapse according to a model by Hayashi et al., (1985).[177] This model draws parallels to the current Solar System, utilizing the combined planetary mass to estimate the total mass required for their formation. The hot central protostar heats the surrounding dust disk so that, inside the frost line, the condensed ices sublimate, leaving the carbonaceous, silicate, and iron cores of the dust. Outside the frost line icy dust particles form comets and icy planetesimals. Within the disk, the motion of bodies smaller than 1 km is governed more by gas drag than by gravity. Thermal Brownian motion prompts collisions among sub-micron and micron-sized dust particles, while larger particles collide due to radial and transverse velocities induced by non-Keplerian gas rotation.[178] Laboratory experiments spanning the entire parameter spectrum have studied the consequences of mutual dust collisions.[179] These experiments consistently demonstrate that micron-sized dust grains can grow into millimeter-sized aggregates. Outside the frost line icy aggregates can directly grow to comet or icy planetesimal sizes. Inside the frost line siliceous particles encounter a bouncing barrier. This bouncing barrier ensures that a significant portion of the dust population remains small. Bodies measuring centimeters and larger sizes can accumulate these smaller particles, reaching sizes of around 100 meters within a million years.[180]
The velocities and interactions among planetesimals, the building blocks of planets, play a crucial role in their evolution. Runaway growth occurs when larger planetesimals consume smaller ones within their gravitational pull, eventually leading to the formation of protoplanets.[181]
Collisions

Collisions among dust particles or bigger meteoroids are the dominant process in space that changes the mass of or destroys meteoroids in space and generates new and smaller fragments that contribute to the population of meteoroids and dust. The typical collision speed of meteoroids in interplanetary space at 1 AU from the sun is ~20 km/s. At that speed the kinetic energy of a meteorite is much higher than its heat of vaporization. Therefore, when such a projectile of mass hits a much bigger target object then the projectile and a corresponding part of the target mass vaporize and even get ionized and an impact crater is excavated in the target body by the shock waves released by the impact. The excavated mass is
where the cratering efficiency factor scales with the kinetic energy of the projectile.[124] For impact craters on the moon and on asteroids .[182] Thereby, impact craters erode the target body or meteoroids in space.

A target meteoroid of mass is catastrophically disrupted if the mass of the largest fragment remaining is smaller than approx. half of the target mass or
where is the mass of the projectile and the disruption threshold is for rocky material and for porous material.[183][184] Rocky material represents asteroids and porous material represents comets. Cometary material is porous from nucleus size to micron sized fractal dust it emits.[185][186]
The collisional lifetime of a dust particle in interplanetary space can be determined where the flux of interplanetary dust is known. This flux at 1 AU has been derived from lunar microcrater analyses.[122]
where is the scattering cross section (, with particle radius ) in an isotropic flux. Models of the interplanetary dust cloud require that the lifetimes of interplanetary dust particles are longer than those for rock material and, hence, support the result that at 1 AU ~80% of the interplanetary dust is of cometary origin and only ~20% of asteroidal origin.[126][125] Collisional fragmentation leads to a net loss of interplanetary dust particles more massive than ~2×10−9 kg and a net gain of less massive interplanetary dust particles. Comets are believed to replenish the losses of big interplanetary dust.[122]
Sublimation

Early infrared observations of the solar corona during an eclipse indicated a dust-free zone inside ~5 solar radii (0.025 AU) from the Sun. Outside of this dust-free zone interplanetary dust consisting of silicates and carbonaceous material will sublimate at temperatures up to 2000 K.[188][189]
Solar System dust particles are not only small solid particles of meteoritic composition but also particles that contain substances that are liquid or gaseous at terrestrial conditions. Comets carry and release grains containing volatiles in the ice phase into the inner Solar System. Rosetta instruments detected besides the dominant water (H2O) molecules also carbon dioxide (CO2), great variety of CH-, CHN-, CHS-, CHO-, CHO2- and CHNO-bearing saturated and unsaturated species, and the aromatic compound toluene (CH3–C6H5).[190] During Cassini's crossing through Saturn's E ring the Cosmic Dust Analyzer (CDA) found that it consists predominantly of water ice, with minor contributions of silicates, carbon dioxide, ammonia, and hydrocarbons.[191] Analyses of the surface compositions of Pluto and Charon by the New Horizons spacecraft detected a mix of solid nitrogen (N2), methane (CH4), carbon monoxide (CO), ethane (C2H6), and an additional component that imparts color.[192]
Ice particles in the inner planetary system have very short lifetimes. Absorbed solar radiation heats the particle and part of the energy is reradiated back to space and the other part is used to transform the ices into gas that escapes.
where is the solar irradiance at 1 AU, and are the albedos of the ice in the visible and infrared between 10 and 20 μm wavelength, respectively, the heliocentric distance, is the Stefan-Boltzmann constant, the temperature, the production rate of gas, and the latent heat of vaporization. of the ice is deduced from the measured vapour pressure of the subliming ices.[187] At different heliocentric distances interplanetary dust particles have different icy constituents.
Sputtering

Sputtering, in addition meteoroid bombardment is a significant process involved in space weathering, which alters the physical characteristics of dust particles present in space. When energetic atoms or ions from the surrounding plasma collide with a solid particle in space, atoms or ions are emitted from the particle. The sputter yield denotes the average number of atoms expelled from the target per incident atom or ion. The sputter yield primarily relies on the energy and mass of the incident particles, as well as the mass of the target atoms. Within the interplanetary medium the solar wind plasma primarily consists of electrons, protons and alpha particles, possessing kinetic energies ranging from 0.5 and 10 keV, corresponding to solar wind speeds of 400 to 800 km/s at a distance of 1 AU When compared to impact erosion on the lunar surface, sputtering erosion becomes negligible on scales larger than 1 micron.[193]
In the outer Solar System ices are the dominant surface materials of meteoroids and dust. In addition, the magnetospheres of the giant planets contain heavy ions, like sulphur or oxygen that have a high sputter yield for icy surfaces.[194] E.g. the lifetimes due to sputtering of micron sized dust particles in Saturn's E ring is a few 100 years. During this time the dust particles loose >90% of their mass and spiral from their source at Enceladus (at 4 Saturn radii, ) to the orbit of Titan at 20 .[195]
The sputtering environment within interstellar clouds is relatively harmless. Charged interstellar dust grains interact with the gas through the magnetic field, and the temperatures are moderate, typically below 10,000 K. The primary areas where sputter erosion occurs in the interstellar medium are at the collision interface between randomly moving clouds, reaching speeds of a few hundred kilometers per second, and in supernova shocks.[196] On average, the lifetimes of carbonaceous grains in the interstellar medium have been calculated to be approximately years, while silicate grains have a lifespan of approximately years.[197]
References
- ^ "Cosmic Dust". Curation. NASA. Retrieved 11 August 2022.
- ^ Grün, E.; Srama, R.; Krüger, H.; Kempf, S.; Dikarev, V.; Helfert, S.; Moragas-Klostermeyer, G. (March 2005). "2002 Kuiper prize lecture: Dust Astronomy". Icarus. 174 (1): 1–14. Bibcode:2005Icar..174....1G. doi:10.1016/j.icarus.2004.09.010. Retrieved 24 January 2022.
- ^ "False Dawn". www.eso.org. Retrieved 14 February 2017.
- ^ Fechtig, H.; Leinert, Ch.; Berg, O. (2001). "Historical Perspectives". Interplanetary Dust. Astronomy and Astrophysics Library. Springer.com. pp. 1–55. doi:10.1007/978-3-642-56428-4_1. ISBN 978-3-642-62647-0. Retrieved 23 March 2022.
{{cite book}}:|website=ignored (help) - ^ Grün, E.; Gustafson, B.A.S.; Dermott, S.; Fechtig, H. (2001). Interplanetary Dust. Berlin: Springer. Bibcode:2001indu.book.....G. ISBN 978-3-540-42067-5. Retrieved 5 February 2022.
- ^ Whipple, F.L. (March 1950). "A comet model. I. The acceleration of Comet Encke". Astrophysical Journal. 111: 375–394. Bibcode:1950ApJ...111..375W. doi:10.1086/145272. Retrieved 4 May 2023.
- ^ Whipple, F.L. (May 1951). "A Comet Model. II. Physical Relations for Comets and Meteors". Astrophysical Journal. 113: 464. Bibcode:1951ApJ...113..464W. doi:10.1086/145416. Retrieved 4 May 2023.
- ^ Whipple, F.L. (May 1955). "A Comet Model. III. The Zodiacal Light". Astrophysical Journal. 121: 750. Bibcode:1955ApJ...121..750W. doi:10.1086/146040. Retrieved 4 May 2023.
- ^ Jessberger, E.; Staudacher, T.; Dominik, B.; Herzog, G. (September 1977). "40Ar-39Ar Dating of the Pueblito de Allende Meteorite". Meteoritics. 12: 266. Bibcode:1977Metic..12..266J. Retrieved 10 August 2022.
- ^ McSween, Harry; Huss, Gary (2010). Cosmochemistry (1st ed.). Cambridge University Press. ISBN 978-0-521-87862-3.
- ^ Canup, R.; Asphaug, E. (August 2001). "Origin of the Moon in a giant impact near the end of the Earth's formation". Nature. 412 (6848): 708–712. Bibcode:2001Natur.412..708C. doi:10.1038/35089010. PMID 11507633. S2CID 4413525.
- ^ Brownlee, D.; Joswiak, D.; Mtrajt, G. (April 2012). "Overview of the rocky component of Wild 2 comet samples: Insight into the early solar system, relationship with meteoritic materials and the differences between comets and asteroids". Meteoritics & Planetary Science. 47 (4): 453–470. Bibcode:2012M&PS...47..453B. doi:10.1111/j.1945-5100.2012.01339.x. S2CID 128567869.
- ^ a b Westphal, A.; et al. (September 2014). "Final reports of the Stardust Interstellar Preliminary Examination". Meteoritics & Planetary Science. 49 (9): 1720–1733. Bibcode:2014M&PS...49.1720W. doi:10.1111/maps.12221. S2CID 51735815.
- ^ Greenwood, R.; Burbine, T.; Franchi, I. (May 2020). "Linking asteroids and meteorites to the primordial planetesimal population". Geochimica et Cosmochimica Acta. 277: 377–406. Bibcode:2020GeCoA.277..377G. doi:10.1016/j.gca.2020.02.004. S2CID 211560422.
- ^ Yoshikawa, M.; Kawaguchi, <j.; Fujiwara, A.; Tsuchiyama, A. (2015). "Hayabusa Sample Return Mission". Asteroids IV. pp. 397–418. Bibcode:2015aste.book..397Y. doi:10.2458/azu_uapress_9780816532131-ch021. ISBN 9780816532131. Retrieved 12 July 2022.
{{cite book}}:|journal=ignored (help) - ^ Yada, T.; et al. (December 2021). "Preliminary analysis of the Hayabusa2 samples returned from C-type asteroid Ryugu". Nature Astronomy. 6 (2): 214–220. Bibcode:2022NatAs...6..214Y. doi:10.1038/s41550-021-01550-6. S2CID 245366019.
- ^ Brownlee, D.E.; Tomandl, D.A.; Olszewski, E. (March 14–18, 1977). Interplanetary dust: a new source of extraterrestrial material for laboratory studies. Lunar Science Conference. Houston. pp. 149–160. Bibcode:1977LPSC....8..149B. Retrieved 11 July 2022. Proceedings Volume 1. (A78-41551 18-91) New York, Pergamon Press, Inc.
- ^ Bradley, J.; Brownlee, D. (March 1986). "Cometary Particles: Thin Sectioning and Electron Beam Analysis". Science. 231 (4745): 1542–1544. Bibcode:1986Sci...231.1542B. doi:10.1126/science.231.4745.1542. PMID 17833315. S2CID 40451304. Retrieved 9 August 2022.
- ^ Vernazza, P.; Marsset, M.; Beck, P.; Binzel, R.; Birlan, M.; Brunetto, R.; Demeo, F.; Djouadi, Z.; Dumas, C.; Merouane, S.; Mousis, O.; Zanda, B (June 2015). "Interplanetary Dust Particles as Samples of Icy Asteroids". The Astrophysical Journal. 806 (2): article id. 204, 10 pp. (2015). Bibcode:2015ApJ...806..204V. doi:10.1088/0004-637X/806/2/204. hdl:1721.1/98365. S2CID 14303745. Retrieved 9 August 2022.
- ^ "Curation/Cosmic Dust". Stratospheric Dust Samples. NASA. Retrieved 10 July 2022.
- ^ Altobelli, N.; Grün, E.; Landgraf, M. (March 2006). "A new look into the Helios dust experiment data: presence of interstellar dust inside the Earth's orbit" (PDF). Astronomy and Astrophysics. 448 (1): 243. Bibcode:2006A&A...448..243A. doi:10.1051/0004-6361:20053909. S2CID 124533915. Retrieved 2 July 2022.
- ^ a b Jessberger, E.; Christoforidis, A; Kissel, J. (April 1988). "Aspects of the major element composition of Halley's dust" (PDF). Nature. 323 (6166): 691–695 (1988). Bibcode:1988Natur.332..691J. doi:10.1038/332691a0. S2CID 4349968. Retrieved 20 July 2022.
- ^ Kissel, J.; Krueger, F. (April 1987). "The organic component in dust from comet Halley as measured by the PUMA mass spectrometer on board Vega 1" (PDF). Nature. 326 (6115): 755–760 (1987). Bibcode:1987Natur.326..755K. doi:10.1038/326755a0. S2CID 4358568. Retrieved 13 August 2022.
- ^ a b Postberg, F.; Kempf, S.; Srama, R.; Green, S.; Hillier, J-; McBride, N.; Grün, E. (July 2006). "Composition of jovian dust stream particles". Icarus. 183 (1): 122–134. Bibcode:2006Icar..183..122P. doi:10.1016/j.icarus.2006.02.001. Retrieved 22 February 2022.
- ^ Hillier, J.; Green, S.F.; McBride, N.; Schwanenthal, J.; Postberg, F.; Srama, R.; Kempf, S.; Moragas-Klostermeyer, G.; McDonnell, J.A.M.; Grün, E. (June 2007). "The composition of Saturn's E ring". Monthly Notices of the Royal Astronomical Society. 377 (4): 1588–1596. Bibcode:2007MNRAS.377.1588H. doi:10.1111/j.1365-2966.2007.11710.x. S2CID 124773731.
- ^ Postberg, F.; Schmidt, J.; Hillier, J.; Kempf, S.; Srama, R. (June 2011). "A salt-water reservoir as the source of a compositionally stratified plume on Enceladus". Nature. 474 (7353): 620–622. Bibcode:2011Natur.474..620P. doi:10.1038/nature10175. PMID 21697830. S2CID 4400807. Retrieved 25 February 2022.
- ^ a b Altobelli, N.; Postberg, F.; Fiege, K.; Trieloff, M.; Kimura, H.; Sterken, V.; Hsu, W.H.; Hillier, J.; Khawaja, N.; Moragas-Klostermeyer, G.; Blum, J.; Burton, M.; Srama, R.; Kempf, S.; Grün, E. (April 2016). "Flux and composition of interstellar dust at Saturn from Cassini's Cosmic Dust Analyzer". Science. 352 (6283): 312–318. Bibcode:2016Sci...352..312A. doi:10.1126/science.aac6397. PMID 27081064. S2CID 24111692. Retrieved 15 August 2022.
- ^ a b Kempf, S.; Srama, R.; Altobelli, N.; Auer, S.; Tschernjawski, V.; Bradley, J.; Burton, M.; Helfert, S.; Johnson, T.V.; Krüger, H.; Moragas-Klostermeyer, G.; Grün, E. (October 2004). "Cassini between Earth and asteroid belt: first in-situ charge measurements of interplanetary grains". Icarus. 171 (2): 317–335. Bibcode:2004Icar..171..317K. doi:10.1016/j.icarus.2004.05.017. Retrieved 22 February 2022.
- ^ Kempf, S.; Beckmann, U.; Srama, R.; Horanyi, M.; Auer, S.; Grün, E. (August 2006). "The electrostatic potential of E ring particles". Planetary and Space Science. 54 (9–10): 999–1006. Bibcode:2006P&SS...54..999K. doi:10.1016/j.pss.2006.05.012. Retrieved 25 February 2022.
- ^ Srama, R.; Srowig, A.; Auer, S.; Harris, D.; Helfert, S; Kempf, S.; Moragas-Klostermeyer, G.; Grün, E. (September 26–30, 2005). Krueger, H.; Graps, A. (eds.). A Trajectory Sensor for Sub-micron Sized Dust. Workshop on Dust in Planetary Systems (ESA SP-643). Vol. 643. Kauai, Hawaii. pp. 213–217. Bibcode:2007ESASP.643..213S. Retrieved 15 August 2022.
- ^ Auer, S.; Grün, E.; Kempf, S.; Srama, R.; Srowig, A.; Sternovsky, Z.; Tschernjawski, V. (August 2008). "Characteristics of a dust trajectory sensor". Review of Scientific Instruments. 79 (8): 084501-084501-7 (2008). Bibcode:2008RScI...79h4501A. doi:10.1063/1.2960566. PMID 19044367. Retrieved 2 August 2022.
- ^ Tsou, P.; Brownlee, D. E.; Sandford, S. A.; Horz, F.; Zolensky, M. E. (2003). "Wild 2 and interstellar sample collection and Earth return". Journal of Geophysical Research. 108 (E10): 8113. Bibcode:2003JGRE..108.8113T. doi:10.1029/2003JE002109.
- ^ Grün, E.; Sternovsky, Z.; Horanyi, M.; Hoxie, V.; Robertson, S; Xi, J.; Auer, S.; Landgraf, M.; Postberg, F.; Price, M.; Srama, R.; Starkey, N.; Hillier, J.; Franchi, L.; Tsou, P.; Westphal, A; Gainsforth, Z (January 2012). "Active Cosmic Dust Collector". Planetary and Space Science. 60 (1): 261–273. Bibcode:2012P&SS...60..261G. doi:10.1016/j.pss.2011.09.006. Retrieved 15 August 2022.
- ^ Sternovsky, Z.; Amyx, K.; Bano, G.; Landgraf, M.; Horanyi, M.; Knappmiller, S.; Robertson, S; Grün, E.; Srama, S.; Auer, S. (September 26–30, 2005). Krueger, H; Graps, A. (eds.). The Large Area Mass Analyzer (LAMA) for In-Situ Chemical Analysis of Interstellar Dust Particles. Workshop on Dust in Planetary Systems (ESA SP-643). Vol. 643. Kauai, Hawaii. pp. 205–208. Bibcode:2007ESASP.643..205S. Retrieved 15 August 2022..
- ^ Srama, R.; Srowig, A.; Rachev, M.; Grün, E.; Auer, S.; Conlon, T.; Glasmachers, A.; Harris, D.; Kempf, S.; Linnemeann, H.; Moragas-Klostermeyer, G.; Tschernjawski, V. (December 2004). "Development of AN Advanced Dust Telescope". Earth, Moon, and Planets. 95 (1–4): 211–220. Bibcode:2004EM&P...95..211S. doi:10.1007/s11038-005-9040-z. S2CID 121243309. Retrieved 1 August 2022.
- ^ Sternovsky, Z.; Grün, E.; Drake, K.; Xie, J.; Horanyi, M.; Srama, R.; Kempf, S.; Postberg, F.; Mocker, A.; Auer, S.; Krüger, H. (2011). Novel Instrument for Dust Astronomy: Dust Telescope. Aerospace Conference. pp. 1–8. doi:10.1109/AERO.2011.5747300. ISBN 978-1-4244-7350-2. S2CID 27532569. Retrieved 2 August 2022.
- ^ Grün, E.; Krüger, H.; Srama, H. (October 2019). "The Dawn of Dust Astronomy". Space Science Reviews. 215 (7): 51. arXiv:1912.00707. Bibcode:2019SSRv..215...46G. doi:10.1007/s11214-019-0610-1. S2CID 208527737. Retrieved 24 January 2022.
- ^ Della Corte, V.; Rotundi, A.; Fulle, M.; Grün, E.; Weissman, P.; Sordini, R.; Ferrari, M.; Ivanovski, S.; Lucarelli, F.; Accolla, M.; Zakharov, V.; Mazzotta Epifani, E.; Lopez-Moreno, J.; Rodriguez, J.; Colangeli, L.; Palumbo, P.; Bussoletti, E.; Crifo, J.; Esposito, F.; Green, S.; Lamy, P.; McDonnell, J.A.M.; Mennella, V.; Molina, A.; Morales, R.; Moreno, F.; Ortiz, J.; Palomba, E.; Perrin, J.; Rietmeijer, F.; Rodrigo, R.; Zarnecki, J.; Cosi, M.; Giovane, F.; Gustafson, B.; Herranz, M.; Leese, M.; Lopez-Jimenez, A.; Lopez-Jimenez, N (November 2015). "GIADA: shining a light on the monitoring of the comet dust production from the nucleus of 67P/Churyumov-Gerasimenko" (PDF). Astronomy & Astrophysics. 583 (id.A13): 10 pp. Bibcode:2015A&A...583A..13D. doi:10.1051/0004-6361/201526208. S2CID 655044. Retrieved 11 August 2022.
- ^ Gardner, E; Lehto, H.; Lehto, K.; Fray, N.; Bardyn, A.; Lönnberg, T.; Merouane, S.; Isnard, R.; Cottin, H.; Hilchenbach, M.; and The Cosima Team (December 2020). "The detection of solid phosphorus and fluorine in the dust from the coma of comet 67P/Churyumov-Gerasimenko". Monthly Notices of the Royal Astronomical Society. 499 (2): 1870–1873. arXiv:2010.13379. doi:10.1093/mnras/staa2950. Retrieved 15 July 2022.
- ^ a b Paquette, J.; Fray, N.; Bardyn, A.; Engrand, C.; Alexander, C.; Siljeström, S.; Cottin, H.; Merouane, S.; Isnard, R.; Stenzel, O.; Fischer, H.; Rynö, J.; Kissel, J.; Hilchenbach, M. (July 2021). "D/H in the refractory organics of comet 67P/Churyumov-Gerasimenko measured by Rosetta/COSIMA". Monthly Notices of the Royal Astronomical Society. 504 (4): 4940–4951. Bibcode:2021MNRAS.504.4940P. doi:10.1093/mnras/stab1028. Retrieved 15 July 2022.
- ^ a b Mannel, T.; Bentley, M.; Boakes, P.; Jeszenszky, H.; Ehrenfreund, P.; Engrand, C-; Koeberl, C.; Levasseur-Regourd, A.C.; Romstedt, J.; Schmied, R.; Torkar, K.; Weber, I. (October 2019). "Dust of comet 67P/Churyumov-Gerasimenko collected by Rosetta/MIDAS: classification and extension to the nanometer scale" (PDF). Astronomy & Astrophysics. 630 (A26): 14. Bibcode:2019A&A...630A..26M. doi:10.1051/0004-6361/201834851. S2CID 182330353. Retrieved 15 July 2022.
- ^ Hadraoui, K.; Cottin, H.; Ivanovski, S.; Zapf, P.; Altwegg, K.; Benilan, Y.; Biver, N.; Della Corte, V.; Fray, N.; Lasue, J.; Merouane, S.; Rotundi, A.; Zakharov, V. (October 2019). "Distributed glycine in comet 67P/Churyumov-Gerasimenko" (PDF). Astronomy & Astrophysics. 630 (A32): 8. Bibcode:2019A&A...630A..32H. doi:10.1051/0004-6361/201935018. S2CID 195549622. Retrieved 15 July 2022.
- ^ a b Pestoni, B.; Altwegg, K.; Balsiger, H.; Hänni, N.; Rubin, M.; Schroeder, I.; Schuhmann, M.; Wampfler, S. (January 2021). "Detection of volatiles undergoing sublimation from 67P/Churyumov-Gerasimenko coma particles using ROSINA/COPS. I. The ram gauge" (PDF). Astronomy & Astrophysics. 645 (A36): A38. arXiv:2012.01495. Bibcode:2021A&A...645A..38P. doi:10.1051/0004-6361/202039130. Retrieved 15 July 2022.
- ^ a b SUDA: A Dust Mass Spectrometer for Compositional Surface Mapping for a Mission to Europa (PDF). S. Kempf, N. Altobelli, C. Briois, E. Grün, M. Horanyi, F. Postberg, J. Schmidt, R. Srama, Z. Sternovsky, G. Tobie, and M. Zolotov. EPSC Abstracts Vol. 9, EPSC2014-229, 2014. European Planetary Science Congress 2014.
- ^ Krüger, H.; Strub, P.; Srama, R.; Kobayashi, M.; Arai, T.; Kimura, H.; Hirai, T.; Moragas-Klostermeyer, G.; Altobelli, N.; Sterken, V.; Agarwal, J.; Sommer, M.; Grün, E. (August 2019). "Modelling DESTINY+ interplanetary and interstellar dust measurements en route to the active asteroid (3200) Phaethon". Planetary and Space Science. 172: 22–42. arXiv:1904.07384. Bibcode:2019P&SS..172...22K. doi:10.1016/j.pss.2019.04.005. S2CID 118708512.
- ^ "IDEX". Interstellar Dust Explorer. LASP.
- ^ Sternovsky, Z.; Mikula, R.; Horanyi, M.; Hillier, J.; Srama, R.; Postberg, F. (13–17 December 2021). Laboratory calibration of the Interstellar Dust Experiment (IDEX) instrument. AGU Fall Meeting 2021. New Orleans. Bibcode:2021AGUFMSH25C2108S. SH25C-2108.
- ^ Wagoner, R.; Fowler, W.; Hoyle, F. (April 1967). "On the Synthesis of Elements at Very High Temperatures". The Astrophysical Journal. 148: 3. Bibcode:1967ApJ...148....3W. doi:10.1086/149126. Retrieved 10 March 2023.
- ^ Cameron, A.G.W. (September 1973). "Abundances of the Elements in the Solar System". Space Science Reviews. 15 (1): 121. Bibcode:1973SSRv...15..121C. doi:10.1007/BF00172440. Retrieved 10 March 2023.
- ^ a b Dorschner, J. (2001). "Interstellar Dust and Circumstellar Dust Disks". In e. Grün; B.A.S. Gustafson; S. Dermott; H. Fechtig (eds.). Interplanetary Dust. Astronomy and Astrophysics Library. Berlin: Springer. pp. 727–786. Bibcode:2001indu.book..727D. doi:10.1007/978-3-642-56428-4_14. ISBN 978-3-642-62647-0. S2CID 116497066.
- ^ Maerker, M.; Ramstedt, S.; Leal-Ferreira, M.; Olofsson, G.; Floren, H. "Probing the Effects of Stellar Evolution: The Dust and Gas in Detached Shells around AGB Stars" (PDF). ESO Messenger. ESO. Retrieved 19 August 2022.
- ^ Skinner, C.; Whitmore, B. (October 1988). "Circumstellar environments - IV. Mass-loss rates for carbon stars". Monthly Notices of the Royal Astronomical Society. 234: 79P-84P (1988). Bibcode:1988MNRAS.234P..79S. doi:10.1093/mnras/234.1.79P. Retrieved 24 August 2022.
- ^ Olnon, F.; et al. (September 1986). "IRAS catalogues and atlases. Atlas of low-resolution spectra". Astronomy and Astrophysics Supplement Series. 65: 607–1065 (1986). Bibcode:1986A&AS...65..607O. Retrieved 24 August 2022.
- ^ Takigawa, A.; Kamizuka, T.; Tachibana, S.; Yamamura, I. (November 2017). "Dust formation and wind acceleration around the aluminum oxide-rich AGB star W Hydrae". Science Advances. 3 (11): id.eaao2149. Bibcode:2017SciA....3O2149T. doi:10.1126/sciadv.aao2149. PMC 5665597. PMID 29109978.
- ^ Gomez, H.; et al. (November 2012). "A Cool Dust Factory in the Crab Nebula: A Herschel Study of the Filaments". The Astrophysical Journal. 760 (1, article id. 96): 12 pp. (2012). arXiv:1209.5677. Bibcode:2012ApJ...760...96G. doi:10.1088/0004-637X/760/1/96. S2CID 92981654. Retrieved 24 August 2022.
- ^ Gall, C.; Hjorth, J.; Watson, D. (July 2014). "Rapid formation of large dust grains in the luminous supernova 2010jl". Nature. 511 (7509): 326–329 (2014). arXiv:1407.4447. Bibcode:2014Natur.511..326G. doi:10.1038/nature13558. PMID 25030169. S2CID 4466016.
- ^ Sarangi, A.; Matsuura, M.; Micelotta, E. (April 2018). "Dust in Supernovae and Supernova Remnants I: Formation Scenarios". Space Science Reviews. 214 (3): 48 pp. Bibcode:2018SSRv..214...63S. doi:10.1007/s11214-018-0492-7. hdl:10138/234663. S2CID 125551632. Retrieved 24 August 2022.
- ^ Clayton, D.; Nittler, L. (September 2004). "Astrophysics with Presolar Stardust". Annual Review of Astronomy and Astrophysics. 42 (1): 39–78. Bibcode:2004ARA&A..42...39C. doi:10.1146/annurev.astro.42.053102.134022.
- ^ Reynolds, J. H.; Turner, G. (1964). "Rare gases in the chondrite Renazzo". Journal of Geophysical Research. 69 (15): 3263–3281. Bibcode:1964JGR....69.3263R. doi:10.1029/JZ069i015p03263.
- ^ Srinivasan, B.; Anders, E. (1978). "Noble Gases in the Murchison Meteorite: Possible Relics of s-Process Nucleosynthesis". Science. 201 (4350): 51–56. Bibcode:1978Sci...201...51S. doi:10.1126/science.201.4350.51. PMID 17777755. S2CID 21175338.
- ^ Bernatowicz, Thomas; Fraundorf, Gail; Ming, Tang; Anders, Edward; Wopenka, Brigitte; Zinner, Ernst; Fraundorf, Phil (1987). "Evidence for interstellar SiC in the Murray carbonaceous meteorite". Nature. 330 (6150): 728–730. Bibcode:1987Natur.330..728B. doi:10.1038/330728a0. S2CID 4361807.
- ^ Fryer, C.; Dimonte, G.; Ellinger, E.; Hungerford, A.; Kares, B.; Magkotsios, G.; Rockefeller, G.; Timmes, F.; Woodward, P.; Young, P. (2011). Nucleosynthesis in the Universe, Understanding 44Ti (PDF). ADTSC Science Highlights (Report). Los Alamos National Laboratory. pp. 42–43.
- ^ Stutz, A.; Launhardt, R.; Linz, H.; Krause, O.; Henning, T.; Kainulainen, J.; Nielbock, M.; Steinacker, J.; André, P. (July 2010). "Dust-temperature of an isolated star-forming cloud: Herschel observations of the Bok globule CB244" (PDF). Astronomy and Astrophysics. 518 (id.L87): 4 pp. arXiv:1005.1943. Bibcode:2010A&A...518L..87S. doi:10.1051/0004-6361/201014537. S2CID 119105980. Retrieved 29 August 2022.
- ^ Martin, Rebecca G.; Livio, Mario (2012). "On the Evolution of the Snow Line in Protoplanetary Discs by Rebecca G. Martin, Mario Livio (STScI)". Monthly Notices of the Royal Astronomical Society: Letters. 425 (1): L6. arXiv:1207.4284. Bibcode:2012MNRAS.425L...6M. doi:10.1111/j.1745-3933.2012.01290.x. S2CID 54691025.
- ^ Blum, J.; Wurm, G. (September 2008). "The growth mechanisms of macroscopic bodies in protoplanetary disks". Annual Review of Astronomy and Astrophysics. 46: 21–56. Bibcode:2008ARA&A..46...21B. doi:10.1146/annurev.astro.46.060407.145152. Retrieved 15 September 2022.
- ^ Desch, S.; Morris, M.; Connolly, H.; Boss, A. (July 2012). "The importance of experiments: Constraints on chondrule formation models". Meteoritics and Planetary Science. 47 (7): 1139–1156. Bibcode:2012M&PS...47.1139D. doi:10.1111/j.1945-5100.2012.01357.x. S2CID 23465188.
- ^ Koefoed, P; Pravdivtseva, O.; Ogliore, R.; Jiang, Y.; Lodders, K.; Neuman, M-; Wang, K. (September 2022). "The dynamic formation process of the CB chondrite Gujba". Geochimica et Cosmochimica Acta. 332: 33–56. Bibcode:2022GeCoA.332...33K. doi:10.1016/j.gca.2022.06.021. S2CID 250008694.
- ^ Johansen, Anders; Henning, Thomas; Klahr, Hubert (2006). "Dust Sedimentation and Self-sustained Kelvin-Helmholtz Turbulence in Protoplanetary Disk Midplanes". The Astrophysical Journal. 643 (2): 1219–1232. arXiv:astro-ph/0512272. Bibcode:2006ApJ...643.1219J. doi:10.1086/502968. S2CID 15999094.
- ^ Johansen, A.; Blum, J.; Tanaka, H.; Ormel, C.; Bizzarro, M.; Rickman, H. (2014). "The Multifaceted Planetesimal Formation Process". In Beuther, H.; Klessen, R. S.; Dullemond, C. P.; Henning, T. (eds.). Protostars and Planets VI. University of Arizona Press. pp. 547–570. arXiv:1402.1344. Bibcode:2014prpl.conf..547J. doi:10.2458/azu_uapress_9780816531240-ch024. ISBN 978-0-8165-3124-0. S2CID 119300087.
- ^ Linsky, J.; Redfield, S; Schwarz, M. (2016). "Visualizing the three-dimensional structure of the local interstellar medium and possible physical causes for this structure". Journal of Physics: Conference Series. 767 (1): 012016. Bibcode:2016JPhCS.767a2016L. doi:10.1088/1742-6596/767/1/012016. S2CID 126270404.
- ^ Grün, E.; Landgraf (May 2000). "Collisional consequences of big interstellar grains". Journal of Geophysical Research. 105 (A5): 10291–10297. arXiv:astro-ph/9909333. Bibcode:2000JGR...10510291G. doi:10.1029/1999JA900424. S2CID 5769630.
- ^ a b Frisch, P. (May 2000). "The galactic environment of the Sun". Journal of Geophysical Research. 105 (A5): 10279–10289. Bibcode:2000JGR...10510279F. doi:10.1029/1999JA900238.
- ^ a b Witte, M. (November 2004). "Kinetic parameters of interstellar neutral helium. Review of results obtained during one solar cycle with the Ulysses/GAS-instrument" (PDF). Astronomy and Astrophysics. 426: 835. Bibcode:2004A&A...426..835W. doi:10.1051/0004-6361:20035956. Retrieved 17 September 2022.
- ^ Frisch, P.; Slavon, J. (March 2013). "Interstellar dust close to the Sun". Earth, Planets and Space. 65 (3): 175–182. arXiv:1205.4017. Bibcode:2013EP&S...65..175F. doi:10.5047/eps.2012.05.001. S2CID 55773983.
- ^ a b Grün, E.; Zook, H.A.; Baguhl, M.; Balogh, A.; Bame, S.J.; Fechtig, H.; Forsyth, R.; Hanner, M.S.; Horanyi, M.; Kissel, J.; Lindblad, B.A.; Linkert, D.; Linkert, G.; Mann, I.; McDonnell, J.A.M.; Morfill, G.E.; Phillips, J.L.; Polanskey, C.; Schwehm, G.; Siddique, N. (April 1993). "Discovery of Jovian dust streams and interstellar grains by the Ulysses spacecraft". Nature. 362 (6419): 428–430. Bibcode:1993Natur.362..428G. doi:10.1038/362428a0. S2CID 4315361. Retrieved 23 January 2022.
- ^ Krüger, H.; Strub, P.; Grün, E.; Sterken, V. (October 2015). "Sixteen Years of Ulysses Interstellar Dust Measurements in the Solar System. I. Mass Distribution and Gas-to-dust Mass Ratio". The Astrophysical Journal. 812 (2): 139. arXiv:1510.06180. Bibcode:2015ApJ...812..139K. doi:10.1088/0004-637X/812/2/139. S2CID 1689527. Retrieved 17 September 2022.
- ^ Sterken, V.; Altobelli, N.; Kempf, S.; Krüger, H.; Srama, R.; Strub, P.; Grün, E. (April 2013). "The filtering of interstellar dust in the solar system" (PDF). Astronomy and Astrophysics. 552: A130. Bibcode:2013A&A...552A.130S. doi:10.1051/0004-6361/201219609. Retrieved 17 September 2022.
- ^ Grün, E.; Sternovsky, Z.; Horanyi, M.; Hoxie, V.; Robertson, S.; Xi, J.; Auer, S.; Landgraf, M.; Postberg, F.; Price, M.; Srama, R.; Starkey, N.; Hillier, J.; Franchi, I.; Tsou, P.; Westphal, A.; Gainsforth, Z. (January 2012). "Active Cosmic Dust Collector". Planetary and Space Science. 60 (1): 261–273. Bibcode:2012P&SS...60..261G. doi:10.1016/j.pss.2011.09.006. Retrieved 17 September 2022.
- ^ Fernández, J. (August 1980). "On the existence of a comet belt beyond Neptune". Monthly Notices of the Royal Astronomical Society. 192 (3): 481–491. Bibcode:1980MNRAS.192..481F. doi:10.1093/mnras/192.3.481. Retrieved 29 September 2022.
- ^ Jewitt, D.; Luu, J. (April 1993). "Discovery of the candidate Kuiper belt object 1992 QB1". Nature. 362 (6422): 730–732. Bibcode:1993Natur.362..730J. doi:10.1038/362730a0. S2CID 4359389.
- ^ Stern, A. (August 1995). "Collisional Time Scales in the Kuiper Disk and Their Implications". The Astronomical Journal. 110: 856. Bibcode:1995AJ....110..856S. doi:10.1086/117568. Retrieved 29 September 2022.
- ^ Bernardoni, E.; et al. (March 2022). "Student Dust Counter Status Report: The First 50 au". The Planetary Science Journal. 3 (3): 69. Bibcode:2022PSJ.....3...69B. doi:10.3847/PSJ/ac5ab7. hdl:20.500.11850/539928. S2CID 247789768.
- ^ Liou, J-C.; Zook, H.; Dermott, S. (December 1996). "Kuiper Belt Dust Grains as a Source of Interplanetary Dust Particles". Icarus. 124 (2): 429–440. Bibcode:1996Icar..124..429L. doi:10.1006/icar.1996.0220. hdl:2060/19970026865. S2CID 120863552.
- ^ Julio A. Fernández; Tabaré Gallardo; Adrián Brunini (2004). "The scattered disc population as a source of Oort Cloud comets: evaluation of its current and past role in populating the Oort Cloud". Icarus. 172 (2): 372–381. Bibcode:2004Icar..172..372F. doi:10.1016/j.icarus.2004.07.023. hdl:11336/36810.
- ^ Davidsson, Björn J. R. (2008). "Comets – Relics from the birth of the Solar System". Uppsala University. Archived from the original on 19 January 2013. Retrieved 30 July 2013.
- ^ Morbidelli, Alessandro; Brown, Michael E. (2004-11-01). "The Kuiper Belt and the Primordial Evolution of the Solar System" (PDF). In M. C. Festou; H. U. Keller; H. A. Weaver (eds.). Comets II. Tucson (AZ): University of Arizona Press. pp. 175–91. ISBN 978-0-8165-2450-1. OCLC 56755773. Retrieved 2008-07-27.
- ^ Levison, Harold; et al. (10 June 2010). "Capture of the Sun's Oort Cloud from Stars in Its Birth Cluster". Science. 329 (5988): 187–190. Bibcode:2010Sci...329..187L. doi:10.1126/science.1187535. PMID 20538912. S2CID 23671821.
- ^ Meech, K. (December 2017). "A brief visit from a red and extremely elongated interstellar asteroid". Nature. 552 (7685): 378–381. Bibcode:2017Natur.552..378M. doi:10.1038/nature25020. PMC 8979573. PMID 29160305.
- ^ "Small Bodies". Solar System Dynamics. Jet Propulsion Laboratory. Retrieved 3 October 2022.
- ^ Duncan, Martin J. (2008). "Dynamical Origin of Comets and Their Reservoirs". Space Science Reviews. 138 (1–4): 109–126. Bibcode:2008SSRv..138..109D. doi:10.1007/s11214-008-9405-5. S2CID 121848873.
- ^ Horner, J.; Evans, N.W.; Bailey, M. (2004). "Simulations of the Population of Centaurs I: The Bulk Statistics". Monthly Notices of the Royal Astronomical Society. 354 (3): 798–810. arXiv:astro-ph/0407400. Bibcode:2004MNRAS.354..798H. doi:10.1111/j.1365-2966.2004.08240.x. S2CID 16002759.
- ^ Delsemme, A. (1982). "Chemical composition of cometary nuclei". IAU Colloq. 61: Comet Discoveries, Statistics, and Observational Selection: 85. Bibcode:1982come.coll...85D.
- ^ Cowan, J.; A'Hearn, M. (April 1982). "Vaporization in comets; Outbursts from comet Schwassmann-Wachmann 1". Icarus. 50 (1): 53–62. Bibcode:1982Icar...50...53C. doi:10.1016/0019-1035(82)90097-5.
- ^ "archive image browser". NAVCAM images. ESA. Retrieved 17 October 2022.
- ^ Reach, W.; Kelley, M.; Sykes, M. (November 2007). "A survey of debris trails from short-period comets". Icarus. 191 (1): 298–322. arXiv:0704.2253. Bibcode:2007Icar..191..298R. doi:10.1016/j.icarus.2007.03.031. S2CID 18970907.
- ^ Brasser, R.; Wang, J.H. (January 2015). "An updated estimate of the number of Jupiter-family comets using a simple fading law" (PDF). Astronomy & Astrophysics. 573 (id.A102): 7. arXiv:1412.1198. Bibcode:2015A&A...573A.102B. doi:10.1051/0004-6361/201423687. S2CID 119296149. Retrieved 11 October 2022.
- ^ Levison, H.; Terrell, D.; Dones, L.; Duncan, M. (May 2006). "On the origin of the unusual orbit of Comet 2P/Encke". Icarus. 182 (1): 161–168. Bibcode:2006Icar..182..161L. doi:10.1016/j.icarus.2005.12.016.
- ^ Brownlee, D. (May 2014). "The Stardust Mission: Analyzing Samples from the Edge of the Solar System". Annual Review of Earth and Planetary Sciences. 42 (1): 179–205. Bibcode:2014AREPS..42..179B. doi:10.1146/annurev-earth-050212-124203. Retrieved 11 October 2022.
- ^ Pätzold, M.; et al. (February 2019). "The Nucleus of comet 67P/Churyumov-Gerasimenko - Part I: The global view - nucleus mass, mass-loss, porosity, and implications". Monthly Notices of the Royal Astronomical Society. 483 (Monthly Notices of the Royal Astronomical Society): 2337–2346. Bibcode:2019MNRAS.483.2337P. doi:10.1093/mnras/sty3171.
- ^ Langevin, Y.; et al. (June 2016). "Typology of dust particles collected by the COSIMA mass spectrometer in the inner coma of 67P/Churyumov Gerasimenko". Icarus. 271: 76–97. Bibcode:2016Icar..271...76L. doi:10.1016/j.icarus.2016.01.027.
- ^ Emerich, C.; Lamarre, J.; Moroz, V.; Combes, M.; Sanko, N.; Nikolsky, Y.; Rocard, F.; Gispert, R.; Coron, N.; Bibring, J.P.; Encrenaz, T.; Crovisier, J. (November 1987). "Temperature and Size of the Nucleus of Comet p/ Halley Deduced from IKS Infrared VEGA-1 Measurements". Astronomy and Astrophysics. 187: 839. Bibcode:1987A&A...187..839E.
- ^ Grün, E.; Gebhard, J; Bar-Nun, A.; Benkhoff, J.; Düren, H.; Eich, G.; Hische, R.; Huebner, W.F.; Keller, H.U.; Klees, G.; Kochan, H.; Kölzer, G.; Kroker, H.; Kührt, E.; Lämmerzahl, P.; Lorenz, E.; Markiewicz, W.J.; Möhlmann, D.; Öhler, A.; Schloz, J. (August 1993). "Development of a dust mantle on the surface of an insolated ice-dust mixture: results from the KOSI-9 experiment". Journal of Geophysical Research. 98 (E8): 15091–15104. Bibcode:1993JGR....9815091G. doi:10.1029/93JE01134. Retrieved 24 January 2022.
- ^ Grün, E.; et al. (November 2016). "The 2016 Feb 19 outburst of comet 67P/CG: an ESA Rosetta multi-instrument study". Monthly Notices of the Royal Astronomical Society. 462 (1): 220–234. Bibcode:2016MNRAS.462S.220G. doi:10.1093/mnras/stw2088. Retrieved 26 January 2022.
- ^ Agarwal, J.; et al. (July 2017). "Evidence of sub-surface energy storage in comet 67P from the outburst of 2016 July 03". Monthly Notices of the Royal Astronomical Society. 469: s606 – s625. arXiv:1710.10235. Bibcode:2017MNRAS.469S.606A. doi:10.1093/mnras/stx2386.
- ^ Vincent, J.B.; et al. (November 2016). "Summer fireworks on comet 67P". Monthly Notices of the Royal Astronomical Society. 462: S184 – S194. arXiv:1609.07743. Bibcode:2016MNRAS.462S.184V. doi:10.1093/mnras/stw2409.
- ^ Ye, Q.; Jewitt, D.; Hui, M.; Zhang, Q.; Agarwal, J.; Agarwal, M.; Kim, Y.; Li, J.; Lister, T.; Mutchler, M.; Weaver, H. (2021). "Disintegration of Long-period Comet C/2019 Y4 (ATLAS). I. Hubble Space Telescope Observations". The Astronomical Journal. 162 (2): 70. Bibcode:2021AJ....162...70Y. doi:10.3847/1538-3881/abfec3. S2CID 233864422.
- ^ Clavin, Whitney. "Spitzer Telescope Sees Trail of Comet Crumbs". Spitzer Space Telescope at Caltech. Jet Propulsion Lab. Retrieved 1 November 2022.
- ^ Chen, J.; Jewitt, D. (April 1994). "On the Rate at Which Comets Split". Icarus. 108 (2): 265–271. Bibcode:1994Icar..108..265C. doi:10.1006/icar.1994.1061.
- ^ "Objects with orbit type Hilda". Minor Planet Center. Retrieved 3 November 2022.
- ^ Dohnanyi, J.S. (May 1969). "Collisional Model of Asteroids and Their Debris". Journal of Geophysical Research. 74 (10): 2531–2554. Bibcode:1969JGR....74.2531D. doi:10.1029/JB074i010p02531. hdl:2060/19690007140.
- ^ Greenwood, R.; Burbine, T.; Franchi, I. (2020). "Linking asteroids and meteorites to the primordial planetesimal population". Geochimica et Cosmochimica Acta. 277: 377–406. Bibcode:2020GeCoA.277..377G. doi:10.1016/j.gca.2020.02.004. S2CID 211560422.
- ^ Jewitt, David; Hsieh, Henry; Agarwal, Jessica (2015). "The Active Asteroids". In Michel, P.; et al. (eds.). University of Arizona. pp. 221–241. arXiv:1502.02361. Bibcode:2015aste.book..221J. doi:10.2458/azu_uapress_9780816532131-ch012. ISBN 9780816532131. S2CID 45208650.
{{cite book}}:|journal=ignored (help); Missing or empty|title=(help) - ^ Humes, D.H. (November 1980). "Results of Pioneer 10 and 11 Meteoroid Experiments: Interplanetary and Near-Saturn". Journal of Geophysical Research. 85 (A11): 5841. Bibcode:1980JGR....85.5841H. doi:10.1029/JA085iA11p05841. Retrieved 6 June 2022.
- ^ Hanner, M.S.; Sparrow, J.G.; Weinberg, J.L.; Beeson, D.E. (1976). "Pioneer 10 observations of zodiacal light brightness near the ecliptic: Changes with heliocentric distance". Interplanetary Dust and Zodiacal Light. Lecture Notes in Physics. Vol. 48. p. 24. Bibcode:1976LNP....48...29H. doi:10.1007/3-540-07615-8_448. ISBN 978-3-540-07615-5. Retrieved 31 May 2022.
{{cite book}}:|journal=ignored (help) - ^ Dermott, S.; Nicholson, P.; Nicholson, J.; Houck, J. (December 1984). "Origin of the Solar System dust bands discovered by IRAS". Nature. 312 (5994): 505–509. Bibcode:1984Natur.312..505D. doi:10.1038/312505a0. S2CID 4348722.
- ^ Nesvorný, D.; Bottke, W.; Levison, H.; Dones, L. (July 2003). "Recent Origin of the Solar System Dust Bands". The Astrophysical Journal. 591 (1): 486–497. Bibcode:2003ApJ...591..486N. doi:10.1086/374807. S2CID 1747264.
- ^ Nesvorný, David; et al. (August 2006). "Karin cluster formation by asteroid impact". Icarus. 183 (2): 296–311. Bibcode:2006Icar..183..296N. doi:10.1016/j.icarus.2006.03.008.
- ^ Abell, P.; et al. (2007). "Mineralogical composition of (25143) Itokawa 1998 SF36 from visible and near-infrared reflectance spectroscopy: Evidence for partial melting". Meteoritics and Planetary Science. 42 (12): 2165–2177. Bibcode:2007M&PS...42.2165A. doi:10.1111/j.1945-5100.2007.tb01016.x. S2CID 15548858. Retrieved 4 November 2022.
- ^ Yada, T.; et al. (December 2021). "Preliminary analysis of the Hayabusa2 samples returned from C-type asteroid Ryugu". Nature Astronomy. 6 (2): 214–220. Bibcode:2022NatAs...6..214Y. doi:10.1038/s41550-021-01550-6. S2CID 245366019.
- ^ Andrew Jones published (2022-05-18). "China to launch Tianwen 2 asteroid-sampling mission in 2025". Space.com. Retrieved 2022-09-29.
- ^ Gibney, Elizabeth (30 April 2019). "China plans mission to Earth's pet asteroid". Nature. doi:10.1038/d41586-019-01390-5. PMID 32346150. S2CID 155198626. Retrieved 4 June 2019.
- ^ a b c d e Grün, E.; Zook, H.A.; Fechtig, H.; Giese, R.H. (May 1985). "Collisional balance of the meteoritic complex". Icarus. 62 (2): 244–272. Bibcode:1985Icar...62..244G. doi:10.1016/0019-1035(85)90121-6. Retrieved 23 January 2022.
- ^ a b Ceplecha, Z. (September 1992). "Influx of interplanetary bodies onto earth". Astronomy and Astrophysics. 263 (1–2): 361. Bibcode:1992A&A...263..361C. Retrieved 28 January 2023.
- ^ a b c Dohnanyi, J. (May 1969). "Collisional Model of Asteroids and Their Debris". Journal of Geophysical Research. 74 (10): 2531–2554. Bibcode:1969JGR....74.2531D. doi:10.1029/JB074i010p02531. hdl:2060/19690007140.
- ^ a b c Soja, R.H.; Grün, E.; Strub, P.; Sommer, M.; Millinger, M.; Vaubaillon, J.; Alius, W.; Camodeca, G.; Hein, F.; Laskar, J.; Gastieau, M.; Fienga, A.; Schwarzkopf, G.H.; Herzog, J.; Gutschke, K.; Skuppin, N.; Srama, R. (August 2019). "IMEM2: a meteoroid environment model for the inner solar system". Astronomy & Astrophysics. 628 (A109): 13. Bibcode:2019A&A...628A.109S. doi:10.1051/0004-6361/201834892. S2CID 199117335. Retrieved 24 January 2022.
- ^ a b Nesvorný, D.; Jenniskens, P.; Levison, H.; Bottke, W.; Vokrouhlický, D.; Vokrouhlický, M. (April 2010). "Cometary Origin of the Zodiacal Cloud and Carbonaceous Micrometeorites. Implications for Hot Debris Disks". The Astrophysical Journal. 713 (2): 816–836. arXiv:0909.4322. Bibcode:2010ApJ...713..816N. doi:10.1088/0004-637X/713/2/816. S2CID 18865066. Retrieved 28 January 2023.
- ^ Grün, E.; Morfill, G.; Schwehm, G.; Johnson, T.V. (November 1980). "A model of the origin of the Jovian ring". Icarus. 44 (2): 326–338. Bibcode:1980Icar...44..326G. doi:10.1016/0019-1035(80)90028-7.
- ^ Burns, J. A.; Simonelli, D. P.; Showalter, M. R.; Hamilton; Porco, Carolyn C.; Throop; Esposito (2004). "Jupiter's ring-moon system". In Bagenal, Fran; Dowling, Timothy E.; McKinnon, William B. (eds.). Jupiter: The Planet, Satellites and Magnetosphere. Cambridge University Press. p. 241. Bibcode:2004jpsm.book..241B.
- ^ Krüger, H.; Hamilton, D.; Moissl, R.; Grün, E. (September 2009). "Galileo in-situ dust measurements in Jupiter's gossamer rings". Icarus. 203 (1): 198–213. arXiv:0803.2849. Bibcode:2009Icar..203..198K. doi:10.1016/j.icarus.2009.03.040. S2CID 1154579.
- ^ Morfill, G.; Grün, E.; Johnson, T.V. (December 1980). "Dust in jupiter's magnetosphere: Physical processes". Planetary and Space Science. 28 (12): 1087–1100. Bibcode:1980P&SS...28.1087M. doi:10.1016/0032-0633(80)90067-7.
- ^ Krüger, H.; Krivov, A.; Sremčević, M; Grün, E. (July 2003). "Impact-generated dust clouds surrounding the Galilean moons". Icarus. 164 (1): 170–187. arXiv:astro-ph/0304381. Bibcode:2003Icar..164..170K. doi:10.1016/S0019-1035(03)00127-1. S2CID 6788637.
- ^ Horányi, M.; Szalay, J.; Kempf, S.; Schmidt, J.; Grün, E.; Srama, R.; Sternovsky, Z. (June 2015). "A permanent, asymmetric dust cloud around the Moon". Nature. 522 (7556): 324–326. Bibcode:2015Natur.522..324H. doi:10.1038/nature14479. PMID 26085272. S2CID 4453018.
- ^ Showalter, M.; Hamilton, D.; Nicholson, P. (August 2006). "A deep search for Martian dust rings and inner moons using the Hubble Space Telescope". Planetary and Space Science. 54 (9–10): 844–854. Bibcode:2006P&SS...54..844S. doi:10.1016/j.pss.2006.05.009.
- ^ Kessler, Donald J.; Cour-Palais, Burton G. (1978). "Collision Frequency of Artificial Satellites: The Creation of a Debris Belt". Journal of Geophysical Research. 83 (A6): 2637–2646. Bibcode:1978JGR....83.2637K. doi:10.1029/JA083iA06p02637.
- ^ Peale, S.J.; Cassen, P.; Reynolds, R.T. (1979), "Melting of Io by Tidal Dissipation", Science, 203 (4383): 892–894, Bibcode:1979Sci...203..892P, doi:10.1126/science.203.4383.892, JSTOR 1747884, PMID 17771724, S2CID 21271617
- ^ Spencer, J. R.; et al. (2007). "Io Volcanism Seen by New Horizons: A Major Eruption of the Tvashtar Volcano". Science. 318 (5848): 240–43. Bibcode:2007Sci...318..240S. doi:10.1126/science.1147621. PMID 17932290. S2CID 36446567.
- ^ Zook, H.; Grün, E.; Baguhl, M.; Hamilton, D.; Linkert, G.; Liou, J.C.; Forsyth, R.; Phillips, J. (November 1996). "Solar Wind Magnetic Field Bending of Jovian Dust Trajectories". Science. 274 (5292): 1501–1503. Bibcode:1996Sci...274.1501Z. doi:10.1126/science.274.5292.1501. PMID 8929405. S2CID 25816078.
- ^ Graps, A.L.; Grün, E.; Svedhem, H.; Krüger, H.; Horannyi, M.; Heck, A.; Lammers, S. (May 2000). "Io as a source of the jovian dust streams". Nature. 405 (6782): 48–50. Bibcode:2000Natur.405...48G. doi:10.1038/35011008. PMID 10811212. S2CID 4418537.
- ^ Horanyi, M.; Morfill, G.; Grün, E (December 1993). "The dusty ballerina skirt of Jupiter". Journal of Geophysical Research. 98 (A12): 21245–21251. Bibcode:1993JGR....9821245H. doi:10.1029/93JA02588.
- ^ Grün, E.; et al. (September 1998). "Galileo observes electromagnetically coupled dust in the Jovian magnetosphere". Journal of Geophysical Research. 103 (E9): 20011–20022. Bibcode:1998JGR...10320011G. doi:10.1029/98JE00228.
- ^ Roesler, F. L.; et al. (1999). "Far-Ultraviolet Imaging Spectroscopy of Io's Atmosphere with HST/STIS". Science. 283 (5400): 353–57. Bibcode:1999Sci...283..353R. doi:10.1126/science.283.5400.353. PMID 9888844.
- ^ Hillier, JK; Green, SF; McBride, N.; Schwanethal, J. P.; Postberg, F.; Srama, R.; Kempf, S.; Moragas-Klostermeyer, G.; McDonnell, J. A. M.; Grün, E. (June 2007). "The composition of Saturn's E Ring". Monthly Notices of the Royal Astronomical Society. 377 (4): 1588–1596. Bibcode:2007MNRAS.377.1588H. doi:10.1111/j.1365-2966.2007.11710.x.
- ^ Spahn, F.; et al. (March 2006). "Cassini Dust Measurements at Enceladus and Implications for the Origin of the E Ring". Science. 311 (5766): 1416–1418. Bibcode:2006Sci...311.1416S. doi:10.1126/science.1121375. PMID 16527969. S2CID 33554377.
- ^ Porco, C. (March 2006). "Cassini Observes the Active South Pole of Enceladus". Science. 311 (5766): 1393–1401. Bibcode:2006Sci...311.1393P. doi:10.1126/science.1123013. PMID 16527964. S2CID 6976648.
- ^ Postberg, F.; Kempf, S.; Schmidt, J.; Brilliantov, N.; Beinsen, A.; Abel, B.; Buck, U.; SWrama, R. (June 2009). "Sodium salts in E-ring ice grains from an ocean below the surface of Enceladus". Nature. 459 (7250): 1098–1101. Bibcode:2009Natur.459.1098P. doi:10.1038/nature08046. PMID 19553992. S2CID 205216877.
- ^ Hsu, H.-W. (March 2015). "Ongoing hydrothermal activities within Enceladus". Nature. 519 (7542): 207–210. Bibcode:2015Natur.519..207H. doi:10.1038/nature14262. PMID 25762281. S2CID 4466621.
- ^ Cook, Jia-Rui C.; Gutro, Rob; Brown, Dwayne; Harrington, J.D.; Fohn, Joe (16 January 2023). "Hubble Sees Evidence of Water Vapor at Jupiter Moon". NASA.
- ^ Hofgartner, J; et al. (March 2022). "Hypotheses for Triton's plumes: New analyses and future remote sensing tests". Icarus. 375: 114835. arXiv:2112.04627. Bibcode:2022Icar..37514835H. doi:10.1016/j.icarus.2021.114835. S2CID 245005869.
- ^ Di Ruscio, A.; Fienga, A.; Durante, D.; Iess, L.; Laskar, J.; Gastineau, M. (August 2020). "Analysis of Cassini radio tracking data for the construction of INPOP19a: A new estimate of the Kuiper belt mass" (PDF). Astronomy and Astrophysics. 640: A7. Bibcode:2020A&A...640A...7D. doi:10.1051/0004-6361/202037920. S2CID 225709042. Retrieved 22 February 2023.
- ^ Pitjeva, E.V.; Pitjev, N.P. (August 2018). "Masses of the Main Asteroid Belt and the Kuiper Belt from the Motions of Planets and Spacecraft". Astronomy Letters. 44 (8–9): 554–566. arXiv:1811.05191. Bibcode:2018AstL...44..554P. doi:10.1134/S1063773718090050. S2CID 255197841.
- ^ Liou, J.-C.; Zook, H.; Dermott, S. (December 1996). "Kuiper Belt Dust Grains as a Source of Interplanetary Dust Particles". Icarus. 124 (2): 429–440. Bibcode:1996Icar..124..429L. doi:10.1006/icar.1996.0220. hdl:2060/19970026865. S2CID 120863552.
- ^ Shestakova, L.I.; Tambovtseva, L.V- (1995). "Dynamics of Dust Grains Near the Sun" (PDF). Astronomical and Astrophysical Transactions. 8 (1): 59–81. Bibcode:1995A&AT....8...59S. doi:10.1080/10556799508203297. Retrieved 27 February 2023.
- ^ Gustafson, B.A.S. (1994). "Physics of Zodiacal Dust". Annual Review of Earth and Planetary Sciences. 22: 553–595. Bibcode:1994AREPS..22..553G. doi:10.1146/annurev.ea.22.050194.003005. Retrieved 27 February 2023.
- ^ Burns; Lamy; Soter (1979). "Radiation Forces on Small Particles in the Solar System". Icarus. 40 (1): 1–48. Bibcode:1979Icar...40....1B. doi:10.1016/0019-1035(79)90050-2.
- ^ Gustafson, B.A-S-; Kolokolova, L. (1999). "A systematic study of light scattering by aggregate particles using the microwave analog technique: Angular and wavelength dependence of intensity and polarization". Journal of Geophysical Research. 104 (D24): 31711–31720. Bibcode:1999JGR...10431711G. doi:10.1029/1999JD900327.
- ^ Kresak, L. (1976). "Orbital Evolution of the Dust Streams Released from Comets". Bulletin of the Astronomical Institutes of Czechoslovakia. 27: 35. Bibcode:1976BAICz..27...35K. Retrieved 27 February 2023.
- ^ Zook, H.A.; Berg, O.E. (January 1975). "A source for hyperbolic cosmic dust particles". Planetary and Space Science. 23 (1): 183–203. Bibcode:1975P&SS...23..183Z. doi:10.1016/0032-0633(75)90078-1.
- ^ a b Sterken, V.; Altobelli, N.; Kempf, S.; Schwehm, G.; Srama, R.; Grün, E. (February 2012). "The flow of interstellar dust into the solar system" (PDF). Astronomy and Astrophysics. 538: A102. Bibcode:2012A&A...538A.102S. doi:10.1051/0004-6361/201117119. Retrieved 9 March 2023.
- ^ Klačka, J.; Kocifaj, M. (November 2008). "Times of inspiralling for interplanetary dust grains". Monthly Notices of the Royal Astronomical Society. 390 (4): 1491. Bibcode:2008MNRAS.390.1491K. doi:10.1111/j.1365-2966.2008.13801.x. S2CID 109936362. Retrieved 1 March 2023.
- ^ a b Horanyi, M. (1996). "Charged Dust Dynamics in the Solar System". Annual Review of Astronomy and Astrophysics. 34: 383–418. Bibcode:1996ARA&A..34..383H. doi:10.1146/annurev.astro.34.1.383.
- ^ Millet, J.M.; Lafon, J.P. (July 1995). "Secondary-electron emission from porous solids". Physical Review A. 52 (1): 433–438. Bibcode:1995PhRvA..52..433M. doi:10.1103/PhysRevA.52.433. PMID 9912266.
- ^ "2022 CODATA Value: vacuum electric permittivity". The NIST Reference on Constants, Units, and Uncertainty. NIST. May 2024. Retrieved 2024-05-18.
- ^ McComas, D. J.; Elliott, H. A.; Schwadron, N. A.; Gosling, J. T.; Skoug, R. M.; Goldstein, B. E. (2003-05-15). "The three-dimensional solar wind around solar maximum". Geophysical Research Letters. 30 (10): 1517. Bibcode:2003GeoRL..30.1517M. doi:10.1029/2003GL017136. ISSN 1944-8007.
- ^ Morfill, G.E.; Grün, E. (October 1979). "The motion of charged dust particles in interplanetary space - II. Interstellar grains". Planetary and Space Science. 27 (10): 1283–1292. Bibcode:1979P&SS...27.1283M. doi:10.1016/0032-0633(79)90106-5. S2CID 120519057.
- ^ Sterken, Veerle J.; Westphal, Andrew J.; Altobelli, Nicolas; Malaspina, David; Postberg, Frank (October 2019). "Interstellar Dust in the Solar System". Space Science Reviews. 215 (7): 43. Bibcode:2019SSRv..215...43S. doi:10.1007/s11214-019-0607-9. ISSN 0038-6308. S2CID 255067979.
- ^ Horanyi, M.; Morfill, G.; Grün, E. (December 1993). "The dusty ballerina skirt of Jupiter". Journal of Geophysical Research. 98 (A12): 21245–21251. Bibcode:1993JGR....9821245H. doi:10.1029/93JA02588.
- ^ Grün, E.; et al. (September 1998). "Galileo observes electromagnetically coupled dust in the Jovian magnetosphere". Journal of Geophysical Research. 103 (E9): 20011–20022. Bibcode:1998JGR...10320011G. doi:10.1029/98JE00228.
- ^ Horányi, M.; Juhász, A.; Morfill, G.E. (February 2008). "Large-scale structure of Saturn's E-ring". Geophysical Research Letters. 35 (4). Bibcode:2008GeoRL..35.4203H. doi:10.1029/2007GL032726. S2CID 129314362.
- ^ Kempf, S.; Beckmann, U.; Srama, R.; Horanyi, M., M.; Auer, S.; Grün, E. (August 2006). "The electrostatic potential of E ring particles". Planetary and Space Science. 54 (9–10): 999–1006. Bibcode:2006P&SS...54..999K. doi:10.1016/j.pss.2006.05.012.
- ^ Grün, E.; Svestka, J. (October 1996). "Physics of Interplanetary and Interstellar Dust". Space Science Reviews. 78 (1–2): 347–360. Bibcode:1996SSRv...78..347G. doi:10.1007/BF00170821. S2CID 189795841. Retrieved 6 March 2023.
- ^ Grün, E.; Landgraf, M. (May 2000). "Collisional consequences of big interstellar grains". Journal of Geophysical Research. 105 (A5): 10291–10297. arXiv:astro-ph/9909333. Bibcode:2000JGR...10510291G. doi:10.1029/1999JA900424. S2CID 5769630.
- ^ Schneider, R.; Maiolino, R. (September 2023). "The formation and cosmic evolution of dust in the early Universe. I. Dust sources". Astronomy and Astrophysics Review. 32 (1): 2. arXiv:2310.00053. Bibcode:2024A&ARv..32....2S. doi:10.1007/s00159-024-00151-2.
- ^ Grün, E.; Landgraf, M. (May 2000). "Collisional consequences of big interstellar grains". Journal of Geophysical Research. 105 (A5): 10291–10298. arXiv:astro-ph/9909333. Bibcode:2000JGR...10510291G. doi:10.1029/1999JA900424. S2CID 5769630.
- ^ Boogert, A.; Gerakines, P.; Whittet, D. (August 2015). "Observations of the icy universe". Annual Review of Astronomy and Astrophysics. 53: 541–581. arXiv:1501.05317. Bibcode:2015ARA&A..53..541B. doi:10.1146/annurev-astro-082214-122348. S2CID 119108436.
- ^ McClure, M.; Rocha, W.; Pontoppidan, K (April 2023). "An Ice Age JWST inventory of dense molecular cloud ices". Nature Astronomy. 7 (4): 431–443. arXiv:2301.09140. Bibcode:2023NatAs...7..431M. doi:10.1038/s41550-022-01875-w. S2CID 256105482.
- ^ Testi, L.; Birnstiel, T.; Ricci, L.; Andrews, S; Blum, J.; Carpenter, J.; Dominik, C.; Isella, A.; Natta, A.; Williams, J.; Wilner, D. (2014). "Dust Evolution in Protoplanetary Disks". Protostars and Planets VI, Henrik Beuther, Ralf S. Klessen, Cornelis P. Dullemond, and Thomas Henning (Eds.), University of Arizona Press: 339–361. arXiv:1402.1354. Bibcode:2014prpl.conf..339T. doi:10.2458/azu_uapress_9780816531240-ch015. ISBN 9780816531240. S2CID 109932584.
- ^ Hayashi, C; Nakazawa, K.; Nakagawa, Y (1985). "Formation of the solar system". IN: Protostars and Planets II (A86-12626 03-90). Tucson, AZ, University of Arizona Press: 1100–1153. Bibcode:1985prpl.conf.1100H.
- ^ Weidenschilling, S; Cuzzi, J (1993). "Formation of Planetesimals in the Solar Nebula". Protostars and Planets III Editors, Eugene H. Levy, Jonathan I. Lunine University of Arizona Press, Tucson, Arizona, 1993. ISBN # 0-8165-1334-1. LC # QB806 .P77 P.1031, 1993: 1031. Bibcode:1993prpl.conf.1031W. Retrieved 7 December 2023.
- ^ Blum, J. (March 2018). "Dust Evolution in Protoplanetary Discs and the Formation of Planetesimals. What Have We Learned from Laboratory Experiments?". Space Science Reviews. 214 (2): id. 52, 19 pp. arXiv:1802.00221. Bibcode:2018SSRv..214...52B. doi:10.1007/s11214-018-0486-5. S2CID 59522435.
- ^ Windmark, F.; Birnstiel, T.; Ormel, C; Dullemond, C (August 2012). "Breaking through: The effects of a velocity distribution on barriers to dust growth". Astronomy & Astrophysics. 544: L16. arXiv:1208.0304. Bibcode:2012A&A...544L..16W. doi:10.1051/0004-6361/201220004. S2CID 56015015.
- ^ Lissauer, J.; Stewart, G. (1993). "Growth of Planets from Planetesimals". Protostars and Planets III Editors, Eugene H. Levy, Jonathan I. Lunine; with the Editorial Assistance of M. Guerrieri and M.S. Matthews; Publisher, University of Arizona Press, Tucson, Arizona, ISBN # 0-8165-1334-1. LC # QB806 .P77 P.1061: 1061. Bibcode:1993prpl.conf.1061L. Retrieved 4 January 2024.
- ^ Hörz, F.; Morrison, D.A.; Brownlee, D.E.; Fechtig, H.; Hartung, J.B.; Neukum, G.; Schneider, E.; Vedder, J.F.; Gault, D.E. (January 1975). "Lunar microcraters: Implications for the micrometeoroid complex". Planetary and Space Science. 23 (1): 151. Bibcode:1975P&SS...23..151H. doi:10.1016/0032-0633(75)90076-8. Retrieved 25 May 2022.
- ^ Gault, D.E. (January 1973). "Displaced mass, depth, diameter, and effects of oblique trajectories for impact craters formed in dense crystalline rocks". The Moon. 6 (1–2): The Moon, Volume 6, Issue 1–2, pp. 32. Bibcode:1973Moon....6...32G. doi:10.1007/BF02630651. S2CID 121349956. Retrieved 18 March 2023.
- ^ Nakamura, A.; Yamane, F.; Okamoto, T.; Takasawa, S. (March 2015). "Size dependence of the disruption threshold: laboratory examination of millimeter-centimeter porous targets". Planetary and Space Science. 107: 45–52. Bibcode:2015P&SS..107...45N. doi:10.1016/j.pss.2014.07.011.
- ^ Pätzold, M.; et al. (February 2019). "The Nucleus of comet 67P/Churyumov-Gerasimenko - Part I: The global view - nucleus mass, mass-loss, porosity, and implications". Monthly Notices of the Royal Astronomical Society. 483 (2): 2337–2346. Bibcode:2019MNRAS.483.2337P. doi:10.1093/mnras/sty3171.
- ^ Mannel, T; et al. (November 2016). "Fractal cometary dust - a window into the early Solar system". Monthly Notices of the Royal Astronomical Society. 462 (Suppl_1): 304–311. Bibcode:2016MNRAS.462S.304M. doi:10.1093/mnras/stw2898.
- ^ a b Delsemme, A.HJ (1982). "Chemical composition of cometary nuclei". In: Comets. (A83-13376 03-90) Tucson, AZ, University of Arizona Press: 85–130. Bibcode:1982come.coll...85D.
- ^ Peterson, A.W. (March 1969). "The Coronal Brightness at 2.23 Microns". Astrophysical Journal. 155: 1009. Bibcode:1969ApJ...155.1009P. doi:10.1086/149929. Retrieved 23 March 2023.
- ^ Stenborg, G.; Howard, R.; Vourlidas, A.; Gallagher, B. (June 2022). "PSP/WISPR Observations of Dust Density Depletion near the Sun. II. New Insights from within the Depletion Zone". The Astrophysical Journal. 932 (75): 16. Bibcode:2022ApJ...932...75S. doi:10.3847/1538-4357/ac6b36. S2CID 249830763.
- ^ Altwegg, K.; et al. (July 2017). "Organics in comet 67P - a first comparative analysis of mass spectra from ROSINA-DFMS, COSAC and Ptolemy". Monthly Notices of the Royal Astronomical Society. 469 (Suppl_2): 130-S141. Bibcode:2017MNRAS.469S.130A. doi:10.1093/mnras/stx1415.
- ^ Hillier, J.; Green, S.; McBride, N.; Schwanethal, J.; Postberg, F.; Srama, R.; Kempf, S.; Moragas-Klostermeyer, G.; McDonnell, J.A.M.; Grün, E. (June 2007). "The composition of Saturn's E ring". Monthly Notices of the Royal Astronomical Society. 377 (4): 1588–1596. Bibcode:2007MNRAS.377.1588H. doi:10.1111/j.1365-2966.2007.11710.x. S2CID 124773731. Retrieved 25 March 2023.
- ^ Cruikshank, D.; et al. (January 2015). "The surfacve compositions of Pluto and Charon". Icarus. 246: 82–92. Bibcode:2015Icar..246...82C. doi:10.1016/j.icarus.2014.05.023. S2CID 42131918.
- ^ McDonnell, J.A.M; Ashworth, D.G.; Flavill, R,P.; Carey, W.C.; Bateman, D.C.; Jennison, R.C. (March 1977). "The Characterization of Lunar Surface Impact Erosion and Solar Wind Sputter Processes on the Lunar Surface". Philosophical Transactions of the Royal Society of London. Series A, Mathematical and Physical Sciences. 285 (1327): 303–308. Bibcode:1977RSPTA.285..303M. doi:10.1098/rsta.1977.0069. JSTOR 74856. S2CID 120020698. Retrieved 12 May 2023.
{{cite journal}}: CS1 maint: multiple names: authors list (link) - ^ Johnson, R.E. (January 1996). "Sputtering of ices in the outer solar system". Reviews of Modern Physics. 68 (1): 305–312. Bibcode:1996RvMP...68..305J. doi:10.1103/RevModPhys.68.305.
- ^ Horányi, M.; Juhász, A.; Morfill, G.E. (February 2008). "Large-scale structure of Saturn's E-ring". Geophysical Research Letters. 35 (4): CiteID L04203. Bibcode:2008GeoRL..35.4203H. doi:10.1029/2007GL032726. S2CID 129314362.
- ^ Draine, B.; Salpeter, E. (July 1979). "Destruction mechanisms for interstellar dust". Astrophysical Journal. 231: 438–455. Bibcode:1979ApJ...231..438D. doi:10.1086/157206. Retrieved 15 May 2023.
- ^ Jones, A.; Tielens, A.G.G.M.; Hollenbach, D.; McKee, C. (October 1994). "Grain Destruction in Shocks in the Interstellar Medium". Astrophysical Journal. 433: 797. Bibcode:1994ApJ...433..797J. doi:10.1086/174689. Retrieved 15 May 2023.