Theoretical Mechanics
<Cover and Inter-Wiki Mechanics is some of the essential part of our life and physics
Contents
Most of the math in mechanics involves vectors, understanding them is essential for understanding mechanics. This section covers the basics of vector math.
- Statics
Statics is about balance. It studies the relations between different bodies at rest.
Forces And Their Effects
Force
A force is an interaction between 2 objects. If there aren't 2 (or more) objects there can't be a force. The objects do not necessarily have to touch. e.g. Gravity, electromagnetic and electrostatic forces.
A force is represented by a vector: the magnitude represents the magnitude of the force; The direction represents the direction in which the force acts; the origin defines where the forces acts on the object.
Effects Of Forces
A net force acting on an object can have five effects: tension, compression, shear, translation or rotation.
Note that this translation is according to Aristotelian Physics which is founded on the belief ii that something moves, it must have a mover, i.e. force causing change in position. This is not true according to Newtonian physics in which force changes the velocity of an object.
Translation

- The object moves in a direction parallel to itself.
- The effect is defined by the magnitude and direction of the acting force.
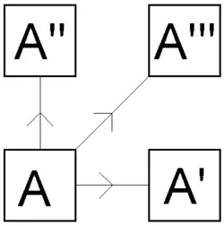
- A is the object at its original position.
- A' and A'' are the object translated along respectively the X- and the Y-axis.
A''' is the object translate along both axis.
Rotation

- The object rotates around a point.
- The original rectangle (left) is rotated around its center. The result is displayed to the right. The dotted rectangle show the location of the original rectangle.
- The object rotates around an axis.
- E.g. A door. Imagine a line through the hinges, this is the axis. The door rotates around this axis.
Translation and Rotation

- The object doesn't move parallel nor does it rotate around a fixed point or axle.
Kinematics
Kinematics describes the position, speed and acceleration of a point or a body and the relations between them without regard to the cause of the acceleration.
Dynamics
Dynamics connects statics with kinematics by connecting the cause (forces) with the effect (acceleration). This is where the three laws of Newton fit in.
As well as the Newtonian laws, there are other formulations of mechanics; Lagrangian mechanics and Hamiltonian mechanics. These formulations of mechanics focus more on energy than force.